Academia.eduAcademia.edu

Hydrocarbon Pollution

description17 papers
group25 followers
lightbulbAbout this topic
Hydrocarbon pollution refers to the contamination of the environment, particularly soil and water, by hydrocarbons, which are organic compounds consisting solely of hydrogen and carbon. This pollution typically arises from oil spills, industrial discharges, and improper waste disposal, leading to detrimental effects on ecosystems and human health.
lightbulbAbout this topic
Hydrocarbon pollution refers to the contamination of the environment, particularly soil and water, by hydrocarbons, which are organic compounds consisting solely of hydrogen and carbon. This pollution typically arises from oil spills, industrial discharges, and improper waste disposal, leading to detrimental effects on ecosystems and human health.

Key research themes

1. What are the environmental and health impacts of hydrocarbon pollution from oil and gas extraction and processing operations?

This research theme investigates the multiple pathways through which hydrocarbon pollution arising from unconventional oil and gas (UOG) operations and conventional petroleum refining impact environmental quality and human health, focusing on air, water, and soil contamination. Emphasis is placed on the release of volatile organic compounds (VOCs), heavy metals, endocrine disrupting chemicals (EDCs), and their consequences for reproductive, developmental, and ecosystem health. This theme matters due to increasing UOG activity and the pernicious nature of related pollutants with proven toxicity and carcinogenicity, calling for rigorous exposure assessment and mitigation strategies.

Key finding: This study synthesizes evidence showing that chemicals released throughout UOG processes—including VOCs (such as benzene, toluene, ethylbenzene, xylene) and heavy metals (arsenic, cadmium, lead)—are linked to adverse... Read more
Key finding: This review documents that VOC and nitrogen oxide emissions from oil and gas production in the US have increased notably over the past decade, with certain "super-emitters" contributing disproportionately to pollution loads.... Read more
Key finding: This work explicates that VOC emissions occur across all stages of the oil and gas fuel cycle—production, processing, transportation, and storage—and that these hydrocarbons strongly contribute to tropospheric ozone formation... Read more
Key finding: By analyzing emissions data and ambient particulate matter (PM2.5) concentrations around a Ghanaian oil refinery, this study connects petroleum emissions—including VOCs, PAHs, and heavy metals—with environmental contamination... Read more

2. How do hydrocarbon pollutants affect soil and sediment microbial communities and biodegradation potential?

This theme explores the changes in microbial biomass, enzymatic activity, and biodegradation capacity of soils and sediments contaminated with different hydrocarbon types. It examines how soil texture, hydrocarbon composition, and pollutant concentration influence microbial community structure and function, which are critical for natural attenuation and bioremediation of hydrocarbon pollutants. Understanding these interactions informs remediation strategies and ecological risk assessments in petroleum-impacted environments.

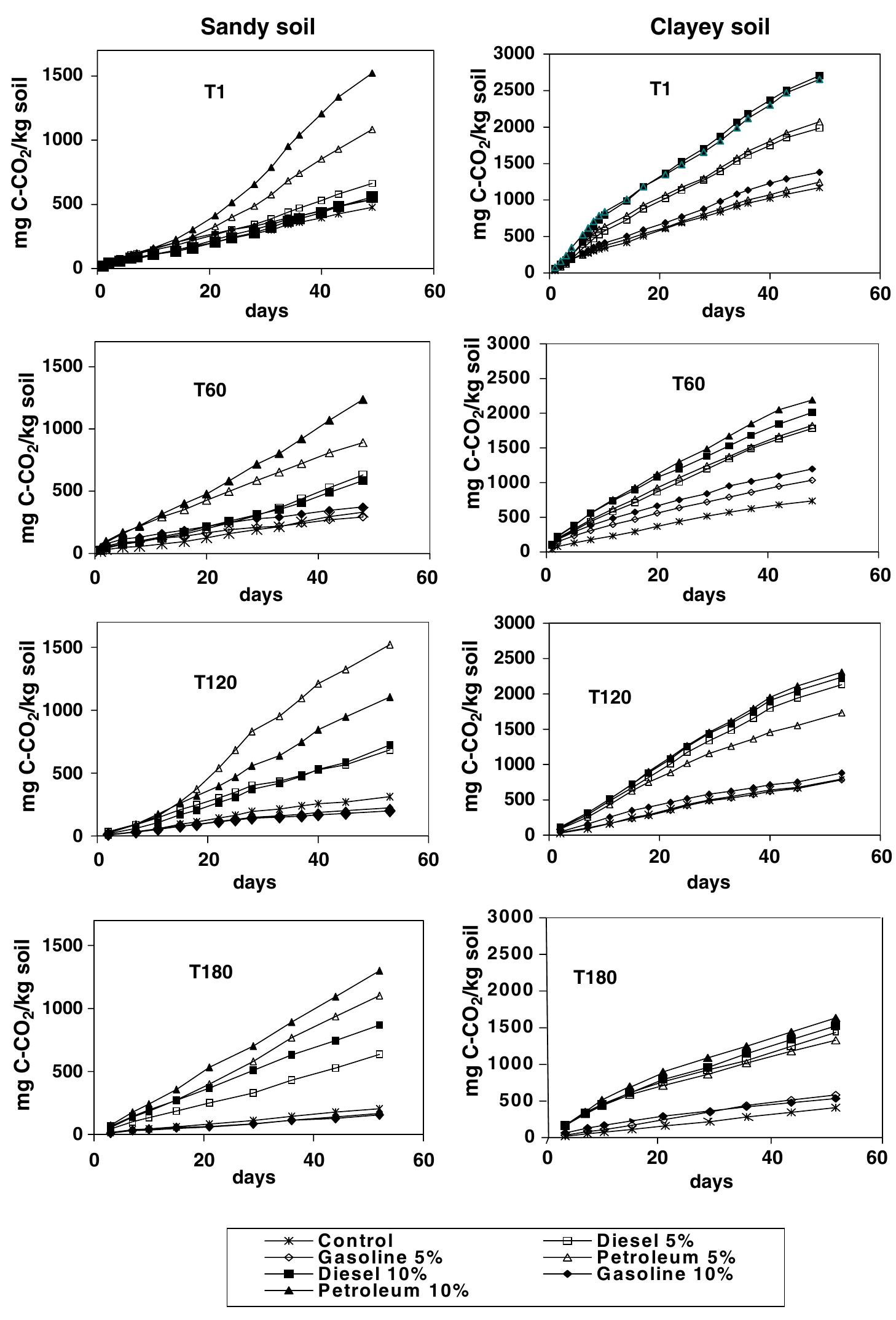
Key finding: The study demonstrated that gasoline exerted the highest toxicity to microbial biomass and enzyme activities compared to diesel and crude petroleum, with greater effects observed in sandy soils than in clay soils. Hydrocarbon... Read more
Key finding: This comprehensive synthesis links heavy metal contaminants inherently present in crude oil with inhibited microbial degradation of hydrocarbons in soil, as heavy metals suppress microbial enzymatic activity. The paper also... Read more
Key finding: This experimental study isolated six Streptomyces actinomycetes strains from oil refinery-contaminated soil demonstrating significant degradation capacity of crude oil in mineral salt media. These findings provide specific... Read more
Key finding: The isolation of a Streptomyces cinereoruber strain producing extracellular antibacterial substances illustrates the dual role of actinomycetes in biodegradation and biocontrol within contaminated soils. While focused on... Read more

3. How can geophysical methods advance the detection and monitoring of hydrocarbon contamination in soil and groundwater?

The third research theme addresses the application of geophysical imaging—principally electrical resistivity tomography (ERT), vertical electrical sounding (VES), and ground penetrating radar (GPR)—to spatially characterize subsurface hydrocarbon contamination plumes. These noninvasive techniques enable delineation of contaminant extent, depth, and heterogeneity, improving monitoring capabilities and informing remediation design. Integrated geophysical approaches provide critical data for environmental assessments of polluted hydrocarbon exploration and spill sites.

Key finding: The study successfully used VES and ERT to detect high-resistivity anomalies associated with oil-contaminated plumes in aquifers near Romanian oil refineries. The resistivity pseudosections revealed spatial heterogeneity and... Read more
Key finding: This work presents long-term VES monitoring of saltwater intrusion and fault-related meteoric water infiltration affecting aquifers proximate to oil refining activities. Apparent resistivity data captured temporal changes in... Read more
Key finding: By integrating ERT, GPR, and VES datasets at a hydrocarbon spill site in Ogoniland, Nigeria, this investigation delineated contaminant plumes with significantly elevated resistivity (1000–10,000 Ωm), consistent with... Read more
Key finding: While not geophysical in a strict sense, this study contributes a low-cost optical sensor employing LEDs and photoreceptors to reliably detect hydrocarbons on water surfaces by differential light absorption. The white-light... Read more

All papers in Hydrocarbon Pollution

The present study was undertaken to know the density and diversity of collembolans in Majuli river island during 2015-16. Altogether 1354.55 individuals of Collembola were extracted, which revealed the presence of 5 species viz.,... more
The study investigated the importance and image behavior of integrated geophysical methods in mapping contaminant spread beneath the surface of a pollution site in Ogoniland, Southern Nigeria. Electrical Resistivity Tomography (ERT) and... more
Hydrocarbons are one of the most important toxics in the oceans. Their presence may cause the death of organisms. They even can affect to the human beings, when they consume products that have been in contact with the hydrocarbons. After... more
A survey of soil arthropod fauna inhabiting Nigeria Institute for Oil Palm Research (NIFOR) was carried out from July-September 2012, with a view to determine the diversity and distribution of soil arthropods of the area. Two study... more
The effect of spent lubricating oil on the composition and abundance of soil arthropods in impacted sites compared with natural control sites was assessed in Benin City, Southern Nigeria. The Modified Berlese-Tullgren Funnel method was... more
A survey of soil arthropod fauna inhabiting Nigeria Institute for Oil Palm Research (NIFOR) was carried out from July-September 2012, with a view to determine the diversity and distribution of soil arthropods of the area. Two study... more
Soil physicochemical properties (pH, electrical conductivity (EC), % moisture, total organic carbon (TOC), total organic matter (TOM)), total extractable hydrocarbon content (THC), and micronutrient (Mn, Fe, Cu, Zn) levels of the... more
Investigations were undertaken at 4 habitat-types (unpolluted, oil-polluted 1year, 3 and 6 years pre-study) in a secondary rainforest, Nigeria, to determine trends in the natural recovery of soil micro-arthropods (mites and Collembolan)... more
Environmental pollution is a global problem, while bioremediation technology removes pollutants from the environment using microorganisms. This study aimed to investigate how a bioremediation process affected soil humification. In soil... more
The aim of this work was to ascertain the effects of different types of hydrocarbon pollution on soil microbial properties and the influence of a soil's characteristics on these effects. For this, toxicity bioassays and microbiological... more
Major fertility indices-N, P, K, TOC and TOM contents-were examined against the backdrop of physiccochemical conditions of pH, temperature, moisture content and electrical conductivity of soils three months after oil spillage at Owaza in... more
The environmental impact of the 1997 leakage of the high-pressure crude-oil pipeline at Isiokpo in the Niger Delta in the southeast of Nigeria was evaluated, with particular reference to total-organic-carbon (TOC) and total-organic-matter... more
Six actinomycetes strains from genus Streptomyces isolated from hydrocarbon contaminated soil in Basra, Iraq were selected for their capacity to grow in the presence of crude oil. Their growth rates and biodegradation ability were... more
Petrochemical hydrocarbons are considered to be the most significant environmental pollutants and need to be removed. In present study, the biodegradation of used engine oil and diesel oil was achieved under shake flask conditions using... more
Research on environmental bioremediation has intensified in recent years because of continuously increase in environmental pollution accidents. Scientists taking advantages of the microbial astonishing steps involved in metabolism and... more
Pollution of marine environment affects the biosphere leading to severe consequences. Bioremediation of marine pollutants mediated by actinomycetes is viable and a low cost preposition. Marine actinomycetes, in consortia and axenic... more
Bioremediation of crude oil contaminated soil eventually depends on the activities of microorganisms to degrade contaminants. Bioaugmentation, through the addition of microbial culture to contaminated soil, can be used to enhance... more
Accidental or deliberate spillage of crude oil into the environment is leading to serious pollution problems. Therefore, these areas of oil pollution can be decontaminated by microorganisms. However, biological degradation capabilities of... more
Microbial populations' inhabitants in crude petroleum contaminated soils were analyzed in relation with the soil characteristics. A noticeable greater decline of bacterial counts and diversity but a prevalence of the genus Pseudomonas... more
In view of the pollution of the underground water, economic loss, decreased in agricultural productivity of soil, poor animal and human health caused by contamination of soil with used and unused motor oil, a study was conducted for... more
In view of the pollution of the underground water, economic loss, decreased in agricultural productivity of soil, poor animal and human health caused by contamination of soil with used and unused motor oil, a study was conducted for... more
Soil pollution, particularly of petroleum hydrocarbons and lead contamination, has become increasingly concerned due to rapid urbanization and industrial development. Bioremediation of petroleum hydrocarbon pollution using microorganisms... more
M angroves are coastal wetland forests mainly found at the intertidal zone of estuaries, back waters, deltas, creeks, lagoons and mudflats of tropical latitudes. According to the latest estimate by the Forest Survey of India (FSI, 2013),... more
High G + C gram positive bacteria are in the phylum Actinobacteria. Many bacteria in this phylum are highly pleomorphic in their morphology; the genera (examples : Corynebacterium and Gardnerella ) several genera such as Streptomyces grow... more
In present world explosion and expansion of pollution is an important catastrophe. There has been an intense investigation on the impacts of pollution on environment which has led to find out the measures for their remediation. In the... more
Background: Endophytic non-streptomycetes group of actinomycetes from Hibiscus rosasinensis leaves were screened for biosurfactant, polythene, plastic, and diesel biodegradation activities. Biosurfactant activity was evaluated by... more
In view of the pollution of the underground water, economic loss, decreased in agricultural productivity of soil, poor animal and human health caused by contamination of soil with used and unused motor oil, a study was conducted for... more
The contamination of the environment (topsoil, shallow sediments, and aquifers) with oil contaminants resulted during more than seven decades in areas of the refineries located at the outskirts of Ploiești city, Romania. Geoelectrical... more
ABSTRACT This paper describes 2 case studies of long-term geoelectrical monitoring of aquifer contamination: a marine intrusion generated by excessive exploitation of drinking water in the Costinesti resort (located on the Romanian Black... more
The potential effects of sawdust, and mixture of cow and sheep dung to biostimulant autochthonous microflora and augmentation for hydrocarbon bioremediation were investigated in test biopile, made of soil polluted with petroleum waste... more
Some oil-impacted sites at Ikarama community Niger Delta (Nigeria) were investigated for arthropod abundance and analyzed for total extractable hydrocarbon content and some physicochemical characteristics. The Arthropods were extracted... more
Six actinomycetes strains from genus Streptomyces isolated from hydrocarbon contaminated soil in Basra, Iraq were selected for their capacity to grow in the presence of crude oil. Their growth rates and biodegradation ability were... more
Bioremediation, a process that utilizes the capability of microorganism to degrade toxic waste, is emerging as a promising technology for the treatment of soil and groundwater contamination. The technology is very effective in dealing... more
The marine sponge Spirastrella cuspidifera Lamarck shows a remarkable capacity to concentrate cobalt-60 from its environment, the specific activity of the radionuclide being two orders of magnitude higher than that in the ambient water.... more
Actinomycetes as a potent organism for the production of biosurfactants in remediating heavily polluted soils. Emulsification index and biosurfactant production are comparatively higher than other microbial strains available for... more
Erwinia chrysanthemi is a phytopathogenic bacterium causing soft rot disease in several agricultural products. Conventional techniques used in the control of this phytopathology have serious limitations due to the emergence of resistant... more
Download research papers for free!