Academia.eduAcademia.edu

adaptive neuro fuzzy inference system (ANFIS)

description7,789 papers
group1,201 followers
lightbulbAbout this topic
An Adaptive Neuro-Fuzzy Inference System (ANFIS) is a hybrid artificial intelligence model that combines neural networks and fuzzy logic principles to model complex systems. It utilizes learning algorithms to adaptively tune the parameters of fuzzy inference systems, enabling improved decision-making and pattern recognition in uncertain environments.
lightbulbAbout this topic
An Adaptive Neuro-Fuzzy Inference System (ANFIS) is a hybrid artificial intelligence model that combines neural networks and fuzzy logic principles to model complex systems. It utilizes learning algorithms to adaptively tune the parameters of fuzzy inference systems, enabling improved decision-making and pattern recognition in uncertain environments.

Key research themes

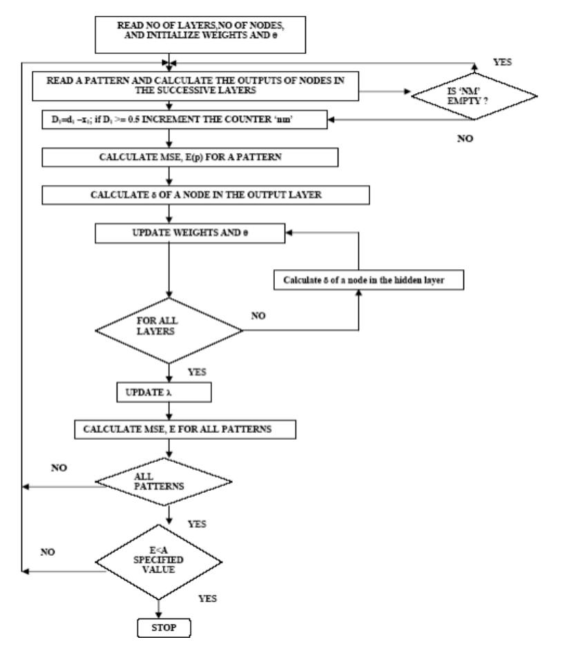
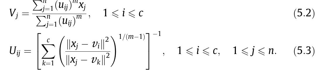
1. How can membership function selection optimize ANFIS performance in classification and regression tasks?

This research area examines the impact of different shapes and numbers of membership functions on the accuracy and computational efficiency of ANFIS models. Membership functions are critical in mapping input crisp data into fuzzy sets, directly affecting ANFIS rule generation, training complexity, and prediction performance. Identifying optimal membership function characteristics is vital for deploying ANFIS in real-world classification and regression problems where both accuracy and computation speed matter.

Key finding: This study systematically compared four popular membership function shapes (Gaussian, triangular, bell, and trapezoidal) and found that Gaussian membership functions achieved higher classification accuracy with lower... Read more
Key finding: This comprehensive review highlights the criticality of membership function type and number selection for balancing accuracy and interpretability in ANFIS. It points out that Gaussian membership functions are favored for... Read more
Key finding: This paper discusses how fixed membership function types sometimes hamper the ANFIS model’s capability in approximating highly nonlinear functions, due to static parametrization. The authors propose architectural improvements... Read more

2. What strategies improve ANFIS performance and applicability via hybridization with optimization algorithms and dimensionality reduction?

This theme centers on adapting and optimizing ANFIS through integration with evolutionary algorithms (e.g., genetic algorithms) and applying dimension reduction to address high input dimensionality and local minima traps. Improved parameter tuning and reduced input complexity aim to enhance prediction accuracy, prevent overfitting, and reduce computational expense, enabling ANFIS to function effectively in complex, real-world datasets.

Key finding: The study developed a hybrid model integrating fuzzy c-means clustering with ANFIS optimized by a genetic algorithm (GA-ANFIS-FCM) to capture nonlinear dependencies in electricity consumption data. The GA component was... Read more
Key finding: This research investigated how various dimension reduction techniques affect ANFIS training efficiency and accuracy, demonstrating that selecting an appropriate dimensionality reduction method (e.g., PCA, autoencoders) can... Read more
Key finding: By coupling a Genetic Algorithm with the ANFIS model, the authors optimized hydrological parameters and tuning of the fuzzy rule base for rainfall-runoff prediction, achieving enhanced accuracy compared to traditional ANFIS... Read more
Key finding: This study hybridized ANFIS with several metaheuristic optimization algorithms including genetic algorithm (GA), particle swarm optimization (PSO), and whale optimization algorithm (WOA) to model lake water level... Read more

3. How is ANFIS effectively applied in real-world environmental and engineering prediction tasks with input optimization and data preprocessing?

This area explores practical applications of ANFIS for environmental modeling tasks such as water quality prediction, wastewater treatment efficiency, electricity demand forecasting, and groundwater quality estimation. It covers the importance of data preprocessing, outlier detection, input variable optimization, and multi-source sensor data integration to improve model interpretability and predictive performance in complex, nonlinear natural systems.

Key finding: The study combined advanced data preprocessing (outlier detection and removal) with exhaustive input feature selection before feeding data to ANFIS models. The optimized input selection identified critical water quality... Read more
Key finding: ANFIS models accurately predicted removal efficiencies of key pollutants (BOD, TN, TP, TSS) in wastewater treatment plants using inputs such as hydraulic retention time, temperature, and dissolved oxygen. The models achieved... Read more
Key finding: Implementing ANFIS for predicting groundwater quality indices showed effective time series forecasting capabilities over a 10-year dataset. The study demonstrated that properly trained ANFIS can precisely model the... Read more
Key finding: Using real electricity demand data over 500+ hours, this paper explored different ANFIS input configurations and membership functions. The best prediction results were obtained by increasing membership functions and inputs,... Read more

All papers in adaptive neuro fuzzy inference system (ANFIS)

by Kim Le
This paper presents a new approach for breast cancer diagnosis using a combination of an Adaptive Network based Fuzzy Inference System (ANFIS) and the Information Gain method. In this approach, the ANFIS is to build an input-output... more
In this paper a method based on combining adaptive neuro fuzzy inference systems (ANFISs) and genetic algorithm (GA) is applied for design and optimization of a circularly polarized microstrip antenna for L1 frequency band of GPS. In... more
In this paper a new intelligent identification method of uncertainty bound utilizes an adaptive neurofuzzy inference system (ANFIS) in a feedback scheme is proposed. The proposed ANFIS feedback structure performs better in determining the... more
Industrial control systems are nowadays exposed in environments with rapid and unstable parameter changes and uses measuring equipments with critical output sensitivity. In the case of thermal gas analyzer, measurement errors are... more
... Research (CECSTR) PO Box 4078,Dept. of Electrical Engineering, Prairie View,TX, 77446 moghheli~,ee.tamu.edu KN Toosi University of Technology, Mechanical Engineering Department, Tehran, Iran, kazemi@kntu.ac:ir ** *** ...
This paper aims to analyze the heart electrocardiograph (ECG) to diagnose the heart performance and predict any future complications. The authors utilize the MIT BIH database to obtain the original data. The discrete wavelet transform... more
Potato image segmentation is an important part of image-based potato defect detection. This paper presents a robust potato color image segmentation through a combination of a fuzzy rule-based system, image thresholding based on Genetic... more
Wave parameters prediction is an important issue in coastal and offshore engineering. In this literature, several models and methods are introduced. In the recent years, the well-known soft computing approaches, such as artificial neural... more
Diabetes occurs when a body is unable to produce or respond properly to insulin which is needed to regulate glucose (sugar). Besides contributing to heart disease, diabetes also increases the risks of developing kidney disease, blindness,... more
In this study, a hybrid model based on ANFIS (Adaptive Neuro-Fuzzy Inference Systems), a predictive intelligent-based technique, and TOPSIS (Technique for Order Performance by Similarity to Ideal Solution) was implemented for sustainable... more
This paper provides a novel and effective approach based on an adaptive neuro-fuzzy inference system for the solution of constant false alarm rate (CFAR) detection for Weibull clutter statistics. The optimal detection thresholds of the... more
by Nur Ak
The human-assisting robot can be helpful for improving the life quality of the disabled and elderly. As Electromyography (EMG) is a physiological signal generated during muscle contraction, it implicates, to certain extent, the human... more
This paper presents an intelligent control technique for the Maximum Power Point Tracking (MPPT) of a photovoltaic (PV) system using adaptive neuro-fuzzy inference system (ANFIS) under variable solar irradiation conditions. The MXS 60 PV... more
... Olatoyosi Olude Department of Systems Science & Industrial Engineering ... In order to improve the stock market performance, Quah & Srinivasan [31] proposed a stock selection system using ANN to select stocks that are... more
The aim of this study is to predict the peak particle velocity (PPV) values from both presently constructed simple regression model and fuzzy-based model. For this purpose, vibrations induced by bench blasting operations were measured in... more
Adaptive neuro-fuzzy inference system Least recently used algorithm Short-term cache Long-term cache a b s t r a c t This paper proposes a novel contribution in Web caching area, especially in Web cache replacement, socalled intelligent... more
Coagulation is the most important stage in drinking water treatment processes for the maintenance of acceptable treated water quality and economic plant operation, which involves many complex physical and chemical phenomena. Moreover,... more
There are several forecasting methods available to estimate the uncertainty of the wind. Wind behavior is chaotic in nature. These forecasting methods are used to predict wind power generation capacity for the grid. With the introduction... more
by lu lu
This paper presents a practical method to optimize in-building section of centralized Heating, Ventilation and Air-conditioning (HVAC) systems which consist of indoor air loops and chilled water loops. First, through component... more
This paper presents a hybrid controller of soft control techniques, adaptive neuro-fuzzy inference system (ANFIS) and fuzzy logic (FL), and hard control technique, proportional-derivative (PD), for a five-finger robotic hand with... more
The goal of this work is to predict the daily performance (COP) of a ground-source heat pump (GSHP) system with the minimum data set based on an adaptive neuro-fuzzy inference system (ANFIS) with a fuzzy weighted pre-processing (FWP)... more
In recent times, engineers have very well accepted soft computing techniques such as fuzzy sets theory, neural nets, neuro fuzzy system, adaptive neuro fuzzy inference system (ANFIS), coactive neuro fuzzy inference system (CANFIS),... more
This paper provides an in-depth review of the optimal design of type-1 and type-2 fuzzy inference systems (FIS) using five well known computational frameworks: genetic-fuzzy systems (GFS), neuro-fuzzy systems (NFS), hierarchical fuzzy... more
The machine learning method of Adaptive Neuro-Fuzzy Inference System (ANFIS) is proposed as a data-driven technique to model the dew point temperature (DPT). The input patterns, of T min, T max, and T mean, are utilized for the training.... more
The integration of wind farms in power networks has become an important problem. This is because the electricity produced cannot be preserved because of the high cost of storage and electricity production must follow market demand.... more
Surface roughness prediction for the end-milling process, which is one of the major cutting processes, is a very important economical consideration in order to increase machine operation and decrease production cost in an automated... more
Predicting the amount of sediment in water resource projects is one of the most important measures to be taken, while sediments have an unknown nature in their behavior. In this research, using the data recorded at the Mazrae station... more
Adaptive neuro-fuzzy inference system (ANFIS) and artificial neural network (ANN) models have been extensively used to predict different soil properties in geotechnical applications. In this study, it was aimed to develop ANFIS and ANN... more
Soil moisture (SM) is of paramount importance in irrigation scheduling, infiltration, runoff, and agricultural drought monitoring. This work aimed at evaluating the performance of the classical ANFIS (Adaptive Neuro-Fuzzy Inference... more
A B S T R A C T Daily solar radiation is an important variable in many models. In this paper, the accuracy and performance of three soft computing techniques (i.e., adaptive neuro-fuzzy inference system (ANFIS), artificial neural network... more
The power system blackout history of last two decades is presented.Conventional load shedding techniques, their types and limitations are presented.Applications of intelligent techniques in load shedding are presented.Intelligent... more
This paper discusses the performance of a fuzzy logic–based rapid visual screening procedure that results in the categorization of buildings into five different types of possible damage with respect to the potential occurrence of a major... more
In many decision support applications it is important to guarantee the expressive power, easy formalization and interpretability of Mamdani-type fuzzy inference systems (FIS), while ensuring the computational efficiency and accuracy of... more
The aim of this paper is to design a three-phase distance relay using an adaptive neuro-fuzzy inference system algorithm (ANFIS). The proposed relay is used to protect the power transmission lines where they are subjected to faults... more
Accurate and fast islanding detection of distributed generation is highly important for its successful operation in distribution networks. Up to now, various islanding detection technique based on communication, passive, active and... more
by Sefer Kurnaz and 
1 more
In this paper, an ANFIS (adaptive neuro-fuzzy inference system) based autonomous flight controller for UAVs (unmanned aerial vehicles) is described. To control the position of the UAV in three dimensional space as altitude and... more
Wire-cut electric discharge machining is a nontraditional technique by which the required profile is acquired using sparks energy. Concerning Wire-cut electric discharge machining, high cutting rates and precision machining is necessary... more
A wire electrical discharge machined (WEDM) surface is characterized by its roughness and metallographic properties. Surface roughness and white layer thickness (WLT) are the main indicators of quality of a component for WEDM. In this... more
Accurate prediction of the water level in a reservoir is crucial to optimizing the management of water resources. A neuro-fuzzy hybrid approach was used to construct a water level forecasting system during flood periods. In particular, we... more
Adaptive Neuro-Fuzzy Inference Systems (ANFIS) fusing capabilities of Artificial Neural Networks and Fuzzy Inference Systems offer a lot of space for solving different kinds of problems, especially efficient in domain of signal... more
High cost of renewable energy systems has led to its slow adoption in many countries. Hence, it is vital to select an appropriate size of the system in order to reduce the cost and excess energy produced as well as to maximize the... more
One of the most important functions of the purchasing management in every organization is to settle on suitable providers. This decision is a sophisticated one since it requires exercising great care in paying simultaneous attention to... more
Nowadays because of the complicated nature of making decision in stock market and making real-time strategy for buying and selling stock via portfolio selection and maintenance, many research papers has involved stock price prediction... more
Light-weight Self-Compacting Concrete (LWSCC) might be the answer to the increasing construction requirements of slenderer and more heavily reinforced structural elements. However, there are limited studies to prove its ability in real... more
This paper introduces a systematic approach for the design of a fuzzy inference system based on a class of neural networks to assess the students' academic performance. Fuzzy systems have reached a recognized success in several... more
This paper proposes a design of hierarchical fuzzy inference tree (HFIT). An HFIT produces an optimum tree-like structure, i.e., a natural hierarchical structure that accommodates simplicity by combining several low-dimensional fuzzy... more
The prediction of natural gas consumption is crucial for Turkey which follows foreign-dependent policy in point of providing natural gas and whose stock capacity is only 5% of internal total consumption. Prediction accuracy of demand is... more
Download research papers for free!