Academia.eduAcademia.edu

Quantum and classical statistical mechanics

description2,773 papers
group2,522 followers
lightbulbAbout this topic
Quantum and classical statistical mechanics is a branch of physics that studies the behavior of systems with a large number of particles, using statistical methods to relate microscopic properties to macroscopic phenomena. It encompasses both quantum mechanics, which describes particles at the atomic scale, and classical mechanics, which applies to larger, macroscopic systems.
lightbulbAbout this topic
Quantum and classical statistical mechanics is a branch of physics that studies the behavior of systems with a large number of particles, using statistical methods to relate microscopic properties to macroscopic phenomena. It encompasses both quantum mechanics, which describes particles at the atomic scale, and classical mechanics, which applies to larger, macroscopic systems.
by G. Schoen and 
1 more
The current and voltage fluctuations in a normal tunnel junction are calculated from microscopic theory. The power spectrum can deviate from the familiar Johnson-Nyquist form when the self-capacitance of the junction is small, at low... more
We present experimental and theoretical results on highly excited Rydberg atoms passing through a waveguide. The waveguide is excited in a coherent mode with a superimposed component of technically generated noise. In the theoretical part... more
In this work, our prime focus is to study the one to one correspondence between the conduction phenomena in electrical wires with impurity and the scattering events responsible for particle production during stochastic inflation and... more
We dedicate this work to the fond memory of Professor Marcos Moshinsky, UNAM, Mexico.
We adopt a formulation of the Mach principle that the rest mass of a particle is a measure of it's long-range collective interactions with all other particles inside the horizon. As a consequence, all particles in the universe form a... more
A superluminal quantum-vortex model of the electron and the positron is produced from a superluminal double-helix model of the photon during electron-positron pair production. The two oppositely-charged (with Q = ±e sqrt (2/α) = 16.6e)... more
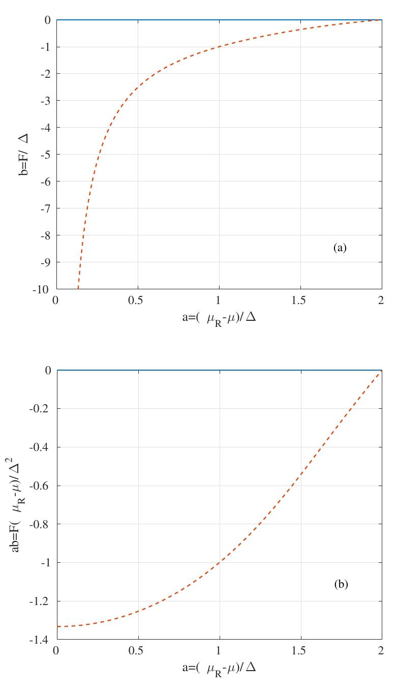
We examine the equilibrium solutions of the BCS theory of superconductivity in the low temperature limit, allowing the attraction band to be asymmetric with respect to the chemical potential of the system µR. If we denote by µ the middle... more
"Networks are mathematically directed (in practical applications also undirected) graphs and a graph is a one-dimensional abstract complex, i.e., a topological space. Network theory focuses on various topological structures and... more
For a long time, one of my dreams was to describe the nature of uncertainty axiomatically, and it looks like I've finally done it in my co∼eventum mechanics! Now it remains for me to explain to everyone the co∼eventum mechanics in the... more
Fundamental properties for the Tsallis relative entropy in both classical and quantum systems are studied. As one of our main results, we give the parametric extension of the trace inequality between the quantum relative entropy and the... more
We study the model of interacting agents proposed by Chatterjee (2003) that allows agents to both save and exchange wealth. Closed equations for the wealth distribution are developed using a mean field approximation. We show that when all... more
You yourself, or what is the same, your experience is such ``coin'' that, while you aren't questioned, it rotates all the time in ``free flight''. And only when you answer the question the ``coin'' falls on one of the sides: ``Yes'' or... more
The recent interest in aspects common to quantum information and condensed matter has prompted a flory of activity at the border of these disciplines that were far distant untill few years ago. Numerous interesting questions have been... more
This paper explores the assumptions underpinning de Broglie’s concept of a wavepacket and related questions and issues. It also explores how the alternative – the ring current model of an electron (or of matter-particles in general) –... more
Slides from my talk at the American Physical Society March 2018 Meeting in Los Angeles. Rearranged slides on March 8 for more coherent narrative .
A la mezcla, al roce, a la colisión, a la intersección, al cruce, en fin, a la imaginación impura. [...]" J. Wagensberg 'Ideas para la imaginación impura' ---"Vosotros, los hombres, no sabéis medir vuestros días. Medís solo su longitud y... more
Within the abstract framework of dynamical system theory we describe a general approach to the Transient (or Evans-Searles) and Steady State (or Gallavotti-Cohen) Fluctuation Theorems of non-equilibrium statistical mechanics. Our main... more
A brief explanation of the development of the continuous concept of matter, as represented by the general theory of relativity and the unified field theory, is offered, as opposed to the discrete theory of matter represented by quantum... more
We investigate the simulation of fermionic systems on a quantum computer. We show in detail how quantum computers avoid the dynamical sign problem present in classical simulations of these systems, therefore reducing a problem believed to... more
We show that the algebra and the endomotive of the quantum statistical mechanical system of Bost-Connes naturally arises by extension of scalars from the "field with one element" to rational numbers. The inductive structure of the abelian... more
We study the efficiency at maximum power, η * , of engines performing finite-time Carnot cycles between a hot and a cold reservoir at temperatures T h and Tc, respectively. For engines reaching Carnot efficiency ηC = 1 − Tc/T h in the... more
Simple models of earthquake faults are important for understanding the mechanisms for their observed behavior, such as Gutenberg-Richter scaling and the relation between large and small events, which is the basis for various forecasting... more
We discuss a Statistical Mechanics approach in the manner of Edwards to the "inherent states" (defined as the stable configurations in the potential energy landscape) of glassy systems and granular materials. We show that at stationarity... more
by Dann Passoja and 
1 more
Much attention has been devoted to predicting and controlling fracture toughness in ferrous weldments. Extensive studies relating toughness with welding parameters and weldment composition have been made. All such studies have sought to... more
In generalized statistical mechanics the second link is customarily relaxed. Of course, the generalized exponential function defining the probability distribution function after inversion, produces a generalized logarithm Λ(pi). But, in... more
Boltzmann's 1872 derivation of the H-theorem was of great significance because it provided a basis for the second law of thermodynamics in terms of the molecular/kinetic theory of heat. By showing that a statistical treatment of the... more
This article reports an open discussion that took place during the Keenan Symposium "Meeting the EntropyChallenge" (held in Cambridge, Massachusetts, on October 4, 2007) following the short presentations-each reported as aseparate article... more
Characterizing and quantifying quantum correlations in states of many-particle systems is at the core of a full understanding of phase transitions in matter. In this work, we continue our investigation of the notion of generalized... more
A theoretically based closed-form analytical equation for the radial distribution function, g͑r͒, of a fluid of hard spheres is presented and used to obtain an accurate analytic representation. The method makes use of an analytic... more
The mixing properties (or sensitivity to initial conditions) of the two-dimensional Henon map have been explored numerically at the edge of chaos. Three independent methods, which have been developed and used so far for one-dimensional... more
Biological cells sense external chemical stimuli in their environment using cell-surface receptors. To increase the sensitivity of sensing, receptors often cluster, most noticeably in bacterial chemotaxis, a paradigm for signaling and... more
The characteristic function of the work performed by an external time-dependent force on a Hamiltonian quantum system is identified with the time-ordered correlation function of the exponentiated system's Hamiltonian. A similar... more
The Schwinger boson mean field theory is applied to the quantum ferrimagnetic Heisenberg chain. There is a ferrimagnetic long range order in the ground state. We observe two branches of the low lying excitation and calculate the spin... more
The collisionless Boltzmann equation is generalized herein using the Green function theory proposed recently by A.K. Rajagopal et al. [Phys. Rev. Lett. 80, 3911 (1998)] to describe nonextensive systems based on Tsallis formalism. Its... more
The logic of uncertainty is not the logic of experience and as well as it is not the logic of chance. It is the logic of experience and chance. Experience and chance are two inseparable poles. These are two dual reflections of one... more
We derive a 1/c-expansion for the single-particle density matrix of a strongly interacting timedependent one-dimensional Bose gas, described by the Lieb-Liniger model (c denotes the strength of the interaction). The formalism is derived... more
Fluctuations of the instantaneous local Lagrangian strain $\epsilon_{ij}(\bf{r},t)$, measured with respect to a static ``reference'' lattice, are used to obtain accurate estimates of the elastic constants of model solids from atomistic... more
The Boltzmann-Gibbs-von Neumann entropy of a large part (of linear size L) of some (much larger) d-dimensional quantum systems follows the so-called area law (as for black holes), i.e., it is proportional to L d−1 . Here we show, for d =... more
We study the model of interacting agents proposed by Chatterjee (2003) that allows agents to both save and exchange wealth. Closed equations for the wealth distribution are developed using a mean field approximation. We show that when all... more
New in the probability theory and eventology theory, the concept of Kopula (eventological copula) is introduced. The theorem on the characterization of the sets of events by Kopula is proved, which serves as the eventological pre-image of... more
We study the quantum phase diagram and excitation spectrum of the frustrated J1-J2 spin-1/2 Heisenberg Hamiltonian. A hierarchical mean-field approach, at the heart of which lies the idea of identifying relevant degrees of freedom, is... more
Download research papers for free!