Academia.eduAcademia.edu

Natural and Artificial Intelligence

description36 papers
group12 followers
lightbulbAbout this topic
Natural and Artificial Intelligence encompasses the study of cognitive processes in humans and animals (natural intelligence) and the development of computational systems that simulate these processes (artificial intelligence). This field explores the mechanisms, capabilities, and implications of both forms of intelligence, including learning, reasoning, and problem-solving.
lightbulbAbout this topic
Natural and Artificial Intelligence encompasses the study of cognitive processes in humans and animals (natural intelligence) and the development of computational systems that simulate these processes (artificial intelligence). This field explores the mechanisms, capabilities, and implications of both forms of intelligence, including learning, reasoning, and problem-solving.
Chapter 1-The Vision of VishwaGuru We live in an age of breathtaking technology and deep uncertainty. Artificial Intelligence (AI) can write, draw, speak, and reason faster than any human in history-yet the question remains: Are we... more
The rapid expansion of wireless networks demands efficient spectrum allocation. Dynamic Spectrum Sharing (DSS) is a technology that allows multiple wireless networks to share the same frequency spectrum dynamically. It is an effective... more
This research investigates the organization and movement of root systems, emphasizing their ability to connect, adhere, and interact with organisms while maintaining self-awareness. Root movements depend on capillary adhesion, enabling... more
This paper synthesizes a series of foundational studies proposing fractal-based frameworks for Artificial General Intelligence (AGI). By integrating theoretical models, optical hardware implementations, and modular computational... more
This paper introduces an innovative proposal for developing a fractal processor as the foundation for a natural Artificial General Intelligence (AGI), drawing on principles of self-similarity and nonlinear dynamics. The theoretical basis... more
UnderWater (UW) Acoustic networks face unique challenges due to limited bandwidth, high latency, and dynamic channel conditions, necessitating adaptive communication protocols to optimize performance under strict energy constraints.... more
Providing acceptable Quality of Experience (QoE) in Wireless Local Area Network (WLAN) is very difficult: home networks are managed by non-technical people, and the proprietary management solutions of enterprise networks usually do not... more
"The Performative Interface - Making Visible a Reality Beyond Appearance" by Monika Fleischmann and Wolfgang Strauss. This article explores the transformative potential of digital technology and its interface with human perception and... more
This publication has its origin in the keynotes and papers of the 5th International Conference for Biodigital Architecture & Genetics, curated by Alberto T. Estevez, that was held in Barcelona, 2023 March 30-31. Thus, the order of... more
Arquitecturas genéticas, nuevas técnicas biológicas y digitales, ¡arquitectura biodigital! Se nos han dado las condiciones para una nueva arquitectura, que con el organicismo digital se ha convertido en la primera vanguardia del siglo... more
Biomiméticas en el Institute for Biodigital Architecture & Genetics Arquitecturas genéticas, nuevas técnicas biológicas y digitales, ¡arquitectura biodigital! Se nos han dado las condiciones para una nueva arquitectura, que con el... more
In recent years, the demand for new applications using various Internet of Things (IoT) devices has led to an increase in the number of devices connected to wireless networks. However, owing to the limitation of available frequency... more
Non-Orthogonal Multiple Access is one of the most important technologies in 5G and Beyond 5G wireless communications, which improve system performance by power domain multiplexing. In realizing Non-Orthogonal Multiple Access, the pairing... more
Non-terrestrial networks, composed of ground, air, and satellite communications, are considered one of the key components for the Beyond 5G/6G, and optical satellite communication is a fundamental technology to enable high-capacity... more
We propose a simple channel-allocation method based on tug-of-war (TOW) dynamics, combined with the time scheduling based on nonlinear oscillator synchronization to efficiently use of the space (channel) and time resources in wireless... more
The wide spread of mobile communication devices has increased the opportunities to use wireless communication technologies, irrespective of one's geographical location. However communication quality deteriorates due to factors such as... more
The parts produced by additive manufacturing are inherently subjected to discretization effects due to their layer-based addition. The stair-stepping effect on the surface quality is inevitable for most of the techniques and it becomes... more
How a misused Internet damages human societies
This paper examines how the evolution of architectural generative design processes aim to apply similar physical and geometrical principles of biological processes taking place during development and to translate them to fabrication... more
The number of IoT devices is predicted to reach 125 billion by 2023. The growth of IoT devices will intensify
Non-orthogonal multiple access schemes with grant free access have been recently highlighted as a prominent solution to meet the stringent requirements of massive machine-type communications (mMTCs). In particular, the multi-user shared... more
This paper examines how the evolution of architectural generative design processes aim to apply similar physical and geometrical principles of biological processes taking place during development and to translate them to fabrication... more
Multi-armed bandit (MAB) models are a viable approach to describe the problem of best wireless network selection by a multi-Radio Access Technology (multi-RAT) device, with the goal of maximizing the quality perceived by the final user.... more
The knowledge of when the amorphous masses of cells organize themselves into a first structural level is relevant for the architect. The architecture must also attend structural and economic stresses, following efficiency, as living... more
An automated method for the generation of curved layer toolpaths is demonstrated to produce 3D printed components with improved aesthetic and structural properties using fused filament fabrication printing. Three case studies are shown,... more
Long-Range (LoRa) devices have been deployed in many Internet of Things (IoT) applications due to their ability to communicate over long distances with low power consumption. The scalability and communication performance of the LoRa... more
Long-Range (LoRa) devices have been deployed in many Internet of Things (IoT) applications due to their ability to communicate over long distances with low power consumption. The scalability and communication performance of the LoRa... more
Unmanned aerial vehicles (UAVs) are becoming an integral part of numerous commercial and military applications. In many of these applications, the UAV is required to self-navigate in highly dynamic urban environments. This means that the... more
The fifth generation mobile networks (5G) envisions to interconnect massive numbers of devices with a wide range of characteristics and demands for 2020 and beyond. With more radio-frequency (RF) bands to support multiple frequency... more
The anticipated increase in the count of IoT devices in the coming years motivates the development of efficient algorithms that can help in their effective management while keeping the power consumption low. In this paper, we propose an... more
Construction materials and techniques have witnessed major advancements due to the application of digital tools in the design and fabrication processes, leading to a wide array of possibilities, especially in additive digital... more
Full-duplex relaying is an enabling technique of sixth generation (6G) mobile networks, promising tremendous rate and spectral efficiency gains. In order to improve the performance of full-duplex communications, power control is a viable... more
The anticipated increase in the count of IoT devices in the coming years motivates the development of efficient algorithms that can help in their effective management while keeping the power consumption low. In this paper, we propose an... more
Bluetooth Low Energy (BLE) has been applied to a variety of IoT applications due to the spread of Bluetooth-enabled devices and their low power consumption. However, further low power consumption can be achieved by efficient selection of... more
The knowledge of when the amorphous masses of cells organize themselves into a first structural level is relevant for the architect. The architecture must also attend structural and economic stresses, following efficiency, as living... more
We introduce a method to analyze and modify a shape to make it manufacturable for a given additive manufacturing (AM) process. Different AM technologies, process parameters, or materials introduce geometric constraints on what is... more
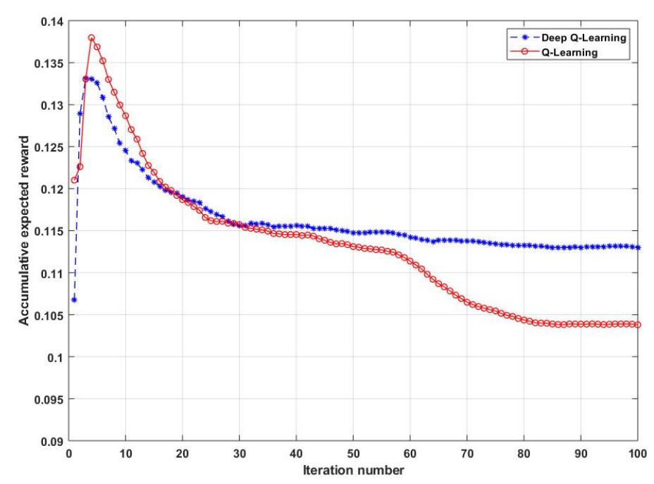
Access point (AP) coordinated spatial reuse with Q-learning enables efficient spectrum utilization [1]. Although sharing of transmission schedules among APs is necessary for coordination, there is no mechanism to identify the APs with... more
This paper examines the evolution of a teaching methodology and agenda of a series of intense workshops deployed and evolved with master students of architectural school. Especially, having the objective of digital manufacturing, merging... more
This paper examines how the evolution of architectural generative design processes aim to apply similar physical and geometrical principles of biological processes taking place during development and to translate them to fabrication... more
Most designers have adapted their methods of designing to digital technics. This article explains the strategies used for develop a panel, realized with three different techniques of digital manufacture.
In recent years, the demand for new applications using various Internet of Things (IoT) devices has led to an increase in the number of devices connected to wireless networks. However, owing to the limitation of available frequency... more
Comment le distinguo de Proust entre les deux côtés de la guerre s'entrelace à l'hybridation de la guerre en tissant un tapis de jeu paradigmatique pour les @ de la logique hybride.
Distributed power control by beamforming approach in cognitive radio networks requires a precise analysis of the impacts of the transmission parameters, tolerable interference and guarantees the quality of service of both the primary... more
For Massive IoT systems, various Low Power Wide Area (LPWA) systems have been developed and deployed, i.e., LoRa, SigFox, etc. In this paper, to avoid destructive collisions when multiple IoT LoRa signals simultaneously received in the... more
The petroleum sector has undoubtedly contributed substantially to Nigerian economy since its discovery in 1956 and more especially, since 1970 when its price has been on the upward   trend. It is important to note that for a country to... more
This article is an open access article distributed under the terms and conditions of the Creative Commons Attribution (CC BY
For Massive IoT systems, various Low Power Wide Area (LPWA) systems have been developed and deployed, i.e., LoRa, SigFox, etc. In this paper, to avoid destructive collisions when multiple IoT LoRa signals simultaneously received in the... more
The wide spread of mobile communication devices has increased the opportunities to use wireless communication technologies, irrespective of one's geographical location. However communication quality deteriorates due to factors such as... more
This paper examines how the evolution of architectural generative design processes aim to apply similar physical and geometrical principles of biological processes taking place during development and to translate them to fabrication... more
Additive manufacturing has widely been spread in the digital fabrication and design fields, allowing designers to rapidly manufacture complex geometry. In the additive process of Fused Deposition Modelling (FDM), machine movements are... more
Download research papers for free!