Academia.eduAcademia.edu

Computer Algebra Systems (CAS)

description7 papers
group5 followers
lightbulbAbout this topic
Computer Algebra Systems (CAS) are software programs designed to perform symbolic mathematics, enabling manipulation of mathematical expressions in a way similar to human reasoning. They can simplify, solve, and analyze mathematical problems symbolically rather than numerically, facilitating tasks in algebra, calculus, and other areas of mathematics.
lightbulbAbout this topic
Computer Algebra Systems (CAS) are software programs designed to perform symbolic mathematics, enabling manipulation of mathematical expressions in a way similar to human reasoning. They can simplify, solve, and analyze mathematical problems symbolically rather than numerically, facilitating tasks in algebra, calculus, and other areas of mathematics.

Key research themes

1. How can Computer Algebra Systems (CAS) and Digital Mathematical Libraries (DML) be jointly leveraged for mutual verification and reliability enhancement?

This research theme explores approaches to verify and improve the accuracy, consistency, and reliability of both CAS and digital mathematical libraries by translating and cross-validating mathematical expressions between them. Such verification is crucial because both CAS and DMLs are widely used in mathematical research and applications, yet both are prone to errors. The interplay leveraging their overlap can reveal discrepancies which may be due to translation errors, CAS implementation bugs, or inaccuracies in the libraries, thus fostering mutual improvement.

Key finding: Developed an improved translation tool (LACAST) capable of converting mathematical expressions from the NIST Digital Library of Mathematical Functions (DLMF) to CAS syntax (Maple and Mathematica), doubling the range of... Read more

2. What are mathematics students’ evolving beliefs about using Computer Algebra Systems, and how stable are these beliefs over time?

This theme investigates senior secondary students' attitudes and beliefs about CAS as they learn to use them in routine and advanced mathematical problem-solving. Understanding the stability of these beliefs is important because attitudes towards CAS influence students’ engagement, effective use, and learning outcomes. The theme addresses how students perceive CAS usefulness, correctness, ease of use, and its relationship to traditional pen-and-paper approaches.

Key finding: Through repeated measures tracking twelve Year 11 students, found that students’ beliefs regarding CAS (including usefulness, correctness of answers, and appropriateness compared to pen-and-paper methods) were generally... Read more

3. How are Computer Algebra Systems integrated and utilized within secondary and higher mathematics education curricula, and what are the implications for teaching and assessment?

This theme examines pedagogical strategies, curriculum design, and assessment frameworks involving CAS in mathematics education at secondary and undergraduate levels. It addresses practical challenges such as technological availability, teacher preparedness, and student engagement, alongside the redesign of curriculum content to exploit CAS capabilities. It also studies the impact of CAS-enabled examinations and transitions to technology-active assessment formats.

Key finding: Analyzed large-scale student performance data from parallel CAS-enabled and traditional cohorts in Victorian Year 12 mathematics examinations, revealing that CAS cohorts often matched or slightly outperformed non-CAS cohorts... Read more
Key finding: Reported on longitudinal pilot CAS implementation showing sustained student performance parity or superiority on common examination items compared to standard courses, and highlighted increasing adoption of CAS... Read more
Key finding: Presented a case study using Maple to equip undergraduate computer science students with algebraic tools for complex analysis tasks beyond their usual training, such as average-case algorithmic analysis. Demonstrated that... Read more
Key finding: Showcased the use of Mathematica as a CAS to teach advanced mathematical concepts through symbolic manipulation, functional programming, and visualizations, notably implementing Gram-Schmidt orthogonalization. Highlighted how... Read more
Key finding: Emphasized the vital role of CAS tools in computer science curricula, particularly for algorithmic reasoning and average-case analyses, which traditionally are mathematically demanding. The integration of CAS software (e.g.,... Read more

All papers in Computer Algebra Systems (CAS)

It is often the case that the exact moments of a statistic of the continuous type can be explicitly determined, while its density function either does not lend itself to numerical evaluation or proves to be mathematically intractable. The... more
These days Analog and Mixed signal (AMS) circuits are widely being designed and used in many safety and financial critical application domains. This fact brings the challenge of efficiently and accurately analyzing these AMS circuits as... more
Definitions JacobianMatrix@f_List ? VectorQ, x_ListD := Outer@D, f, xD ê; Equal üü HDimensions êü 8f, x<L Equations of Motion (b=0) G@q_, z_D := 8-q z H1-qL F@zD,-H1-zL Hz q Hr-1L H1z n-1 L-dL< F@z_D := 1 + Hr-1L z n-1-r H1z n L... more
Campo de investigación: educación continua. Nivel educativo: superior Palabras clave: programación, TIC, matemática, enseñanza El presente trabajo tiene como propósito hacer una propuesta de estructuración de contenidos a enseñar sobre... more
These days Analog and Mixed signal (AMS) circuits are widely being designed and used in many safety and financial critical application domains. This fact brings the challenge of efficiently and accurately analyzing these AMS circuits as... more
The present study deals with the analytic resolution of fundamental problems of the plane elasticity theory. Based on the general framework suggested by Kolossov and Muskhelishvili through the complex representation theory, the... more
physics.uwa.edu.au/~paul Introducing the parameter j into the Cartesian coordinates, as Hx = a sinHjL, y = b cosHjLL, one verifies that the ellipse equation is satisfied.
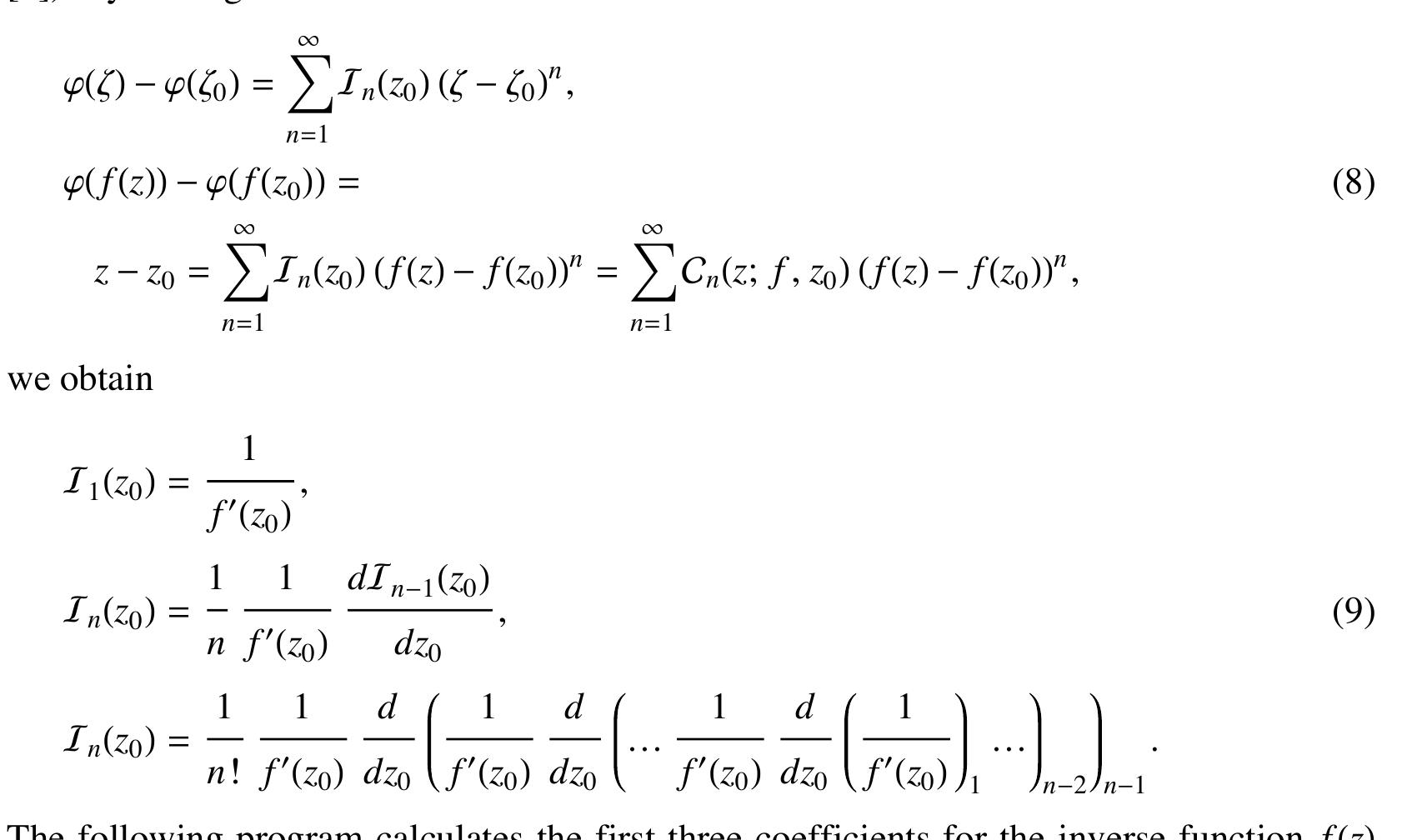
This article presents a compact analytic approximation to the solution of a nonlinear partial differential equation of the diffusion type by using Bürmannʼs theorem. Expanding an analytic function in powers of its derivative is shown to... more
This article presents a compact analytic approximation to the solution of a nonlinear partial differential equation of the diffusion type by using Bürmannʼs theorem. Expanding an analytic function in powers of its derivative is shown to... more
Resumen-Se vive en la actualidad una vertiginosa carrera en la innovación tecnológica, y como protagonista de estos hechos se tienen a los ingenieros, los cuales requieren ser preparados en las universidades con las más avanzadas... more
In this paper, the use of computational symbolic algebra is proposed for the development of end-of-career projects in mechatronic engineering. Looking for that engineering students who are in the last section of their studies, are enabled... more
We present in this paper a set of routines constructed to compute the rank of a matrix Lie algebra and also to determine a Cartan subalgebra from a given list of elements
We present in this paper a set of routines constructed to compute the rank of a matrix Lie algebra and also to determine a Cartan subalgebra from a given list of elements.
The Mathematica computer algebra system (CAS) is an attractive medium for teaching mathematics. New features in Mathematica 3.0 include editable typeset mathematical expressions; customizable palette interface; automatic... more
JacobianMatrix@f_List ? VectorQ, x_ListD := Outer@D, f, xD ê; Equal üü HDimensions êü 8f, x<L
These days Analog and Mixed signal (AMS) circuits are widely being designed and used in many safety and financial critical application domains. This fact brings the challenge of efficiently and accurately analyzing of these AMS circuits... more
These days Analog and Mixed signal (AMS) circuits are widely being designed and used in many safety and financial critical application domains. This fact brings the challenge of efficiently and accurately analyzing these AMS circuits as... more
Download research papers for free!