Academia.eduAcademia.edu

Fuzzy Differential Equation

description88 papers
group742 followers
lightbulbAbout this topic
Fuzzy differential equations are mathematical equations that incorporate fuzzy logic to model systems with uncertainty and imprecision. They extend traditional differential equations by allowing the coefficients and initial conditions to be fuzzy sets, enabling the analysis of dynamic systems where precise values are not available.
lightbulbAbout this topic
Fuzzy differential equations are mathematical equations that incorporate fuzzy logic to model systems with uncertainty and imprecision. They extend traditional differential equations by allowing the coefficients and initial conditions to be fuzzy sets, enabling the analysis of dynamic systems where precise values are not available.

Key research themes

1. How can numerical methods be developed and analyzed for solving fuzzy differential equations to ensure stability and convergence?

This theme focuses on designing and rigorously analyzing numerical algorithms tailored for fuzzy differential equations (FDEs), emphasizing stability analysis, convergence proofs, and computational efficiency. Such methods bridge the gap between theoretical fuzzy calculus and practical applications, enabling reliable approximations of fuzzy initial value problems in engineering and science.

Key finding: Introduced Milne’s predictor-corrector method adapted to fuzzy first-order initial value problems and provided rigorous proofs of stability and convergence of the algorithm. The paper extended classical multistep methods... Read more
Key finding: Developed a novel numerical method based on the inverse F-transform for approximating solutions of fuzzy differential equations under generalized Hukuhara differentiability. The method approximates derivatives via F-transform... Read more
Key finding: Provided the first adaptation of Milne's predictor-corrector method to fuzzy differential equations, establishing sufficient theoretical conditions for numerical stability and convergence in this context. This work builds... Read more
Key finding: Proposed a unified numerical framework for solving fuzzy nonlinear equations that circumvents inefficiencies caused by traditional fuzzy arithmetic subtraction and division within α-cut computations. By introducing... Read more
Key finding: Applied the Adomian Decomposition Method (ADM) to linear fuzzy delay differential equations, demonstrating a rapid convergence to approximate solutions without discretization or linearization. The method effectively handles... Read more

2. What analytical and semi-analytical methods exist for solving generalized fuzzy and intuitionistic fuzzy differential equations, and how do they perform on practical applications?

Research under this theme investigates semi-analytical techniques such as modified Adomian decomposition, Laplace transform methods, and variational iteration methods adapted or extended to generalized fuzzy, intuitionistic fuzzy, and fractional fuzzy differential equations. These approaches seek to derive closed-form or series solutions for uncertain dynamic systems commonly found in physics, engineering, and biological modeling, offering insights into method robustness, convergence, and real-world relevance.

Key finding: Implemented the Generalized Modified Adomian Decomposition Method to linear systems of intuitionistic fuzzy differential equations with generalized trapezoidal intuitionistic fuzzy initial data, providing comparative... Read more
Key finding: Developed a fuzzy Laplace transform method under strongly generalized differentiability to solve Nth-order fuzzy initial value problems. The approach transforms fuzzy differential equations into algebraic problems, dealing... Read more
Key finding: Compared fuzzy reduced differential transform method (RDTM), fuzzy Adomian decomposition, fuzzy homotopy perturbation, and homotopy analysis methods for fuzzy partial differential equations, including fractional PDEs. The... Read more
Key finding: Established approximate analytical solutions for various fuzzy fractional PDEs using a combination of generalized differential transform method and fuzzy variational iteration method. Highlighted use of fuzzy fractional... Read more

3. How are fuzzy differential equations applied in modeling real-world uncertain systems across domains such as hydrology, stochastic processes, and nonlinear oscillators?

This area synthesizes applications of fuzzy differential equations in modeling natural phenomena and engineering systems where uncertainty and imprecision are intrinsic. It encompasses works that translate physical boundary conditions, stochastic dynamics, or nonlinear vibration problems into fuzzy frameworks and develop corresponding solution techniques, highlighting the practical impact of FDE theory.

Key finding: Applied fuzzy differential equations to model groundwater flow in unconfined aquifers with fuzzy boundary conditions, transforming the fuzzy problem to crisp boundary value problems. Utilized a Boltzmann transformation and... Read more
Key finding: Investigated stochastic differential equations with uncertain parameters modeled as triangular fuzzy numbers, formulating fuzzy stochastic differential equations (FSDEs). Proposed applying fuzzy arithmetic in combination with... Read more
Key finding: Developed a residual power series method to analytically approximate solutions of nonlinear fuzzy Duffing oscillator equations under strongly generalized differentiability. The method minimizes residual functions to generate... Read more
Key finding: Proposed a fuzzy neural network-based numerical algorithm to find fuzzy roots of fully fuzzy polynomial equations by introducing a learning algorithm adjusting fuzzy weights via a cost function minimizing level set... Read more
Key finding: Developed a fourth order finite difference scheme tailored for intuitionistic fuzzy hyperbolic PDEs with intuitionistic triangular fuzzy initial and boundary conditions. The method is conditionally stable and convergence is... Read more

All papers in Fuzzy Differential Equation

The aim of this article is to implement the Generalized Modified Adomian Decomposition Method to compute the semi-numerical solution of the linear system of intuitionistic fuzzy initial value problems. Here, we consider the initial values... more
In this paper, a solution procedure for the solution of the system of fuzzy differ-ential equations ˙x(t) = α(A − In)[t(A − In) + In] ... −1 x(t), x(0) = x0 where A is real ... Keywords: Fuzzy number, Fuzzy linear system, Fuzzy... more
This paper aims to develop a fourth order fuzzy finite difference scheme to solve an intuitionistic fuzzy hyperbolic partial differential equation. The initial and boundary conditions of the intuitionistic fuzzy hyperbolic partial... more
Operator splitting is a powerful method for the numerical investigation of complex (physical) time-dependent models, where the stationary (elliptic) part consists of a sum of several simpler operators (processes. Some fields where... more
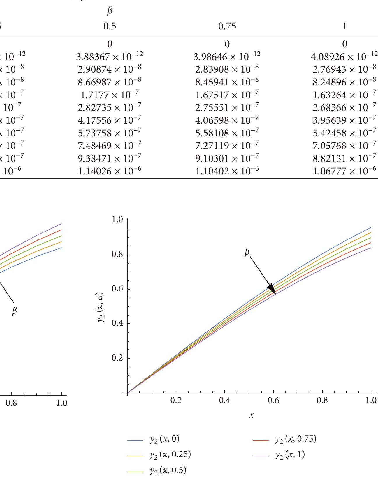
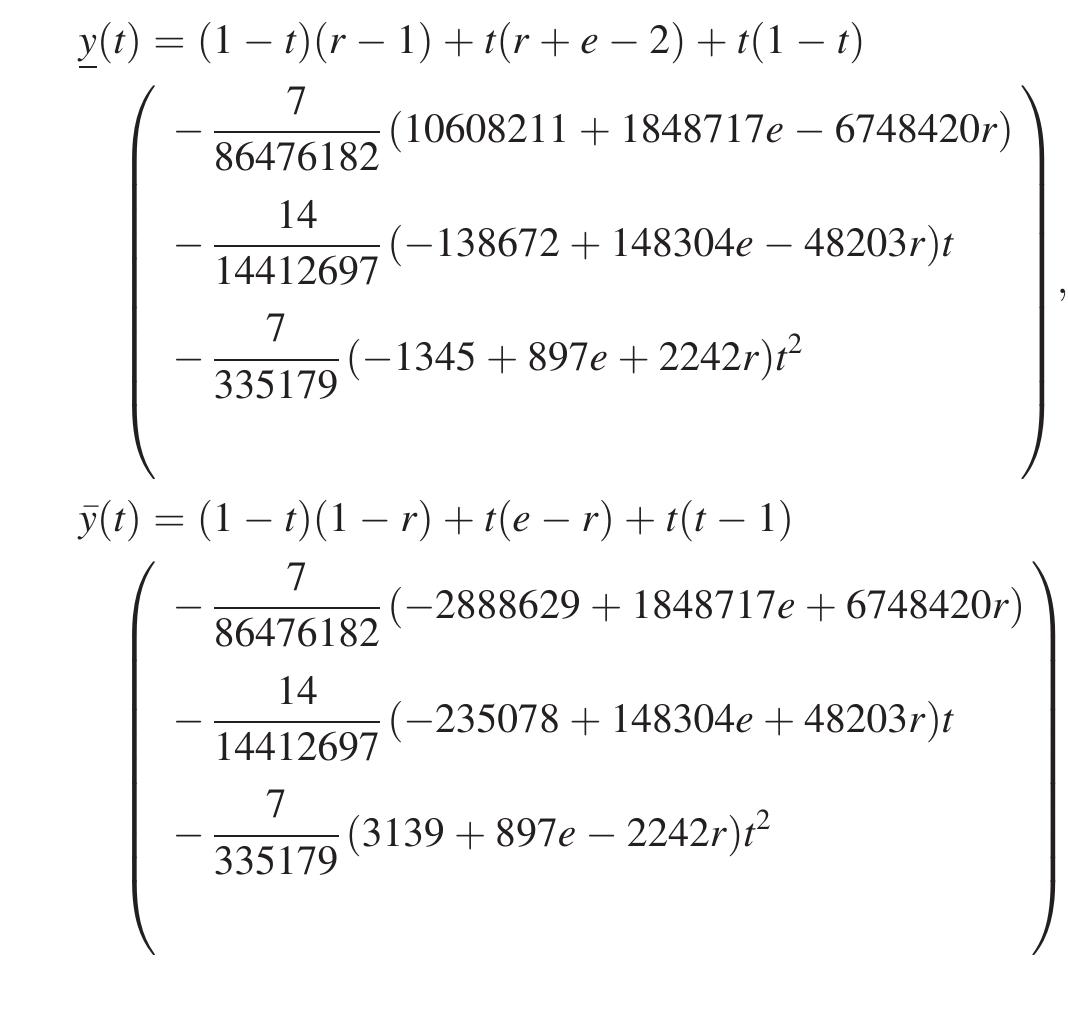
In this paper, a one-step hybrid block method is formulated for the numerical approximation of Fuzzy Differential Equations (FDEs). In deriving the method, the techniques of interpolation and collocation were adopted using the sum of the... more
The aim of this article is to implement the Generalized Modified Adomian Decomposition Method to compute the semi-numerical solution of the linear system of intuitionistic fuzzy initial value problems. Here, we consider the initial values... more
تقدم هذه الورقة حلاً عملي ا لمشكلة حل المعادلات التفاضلية الخطية في وجود عدم الدقة .تعتمد الطريقة المقترحة وطرح الأعداد الضبابية لتحويل المعادلة الضبابية إلى معادلة يمكن حلها باستخدام الأساليب التقليدية. الدراسة تغطي ثلاث حالات مختلفة من... more
A class of splitting iterative methods are considered for solving fuzzy system of linear equations, which covers Jacobi, Gauss Seidel, SOR, SSOR and their block variance proposed. Theoretical analysis showed that for a regular splitting,... more
In this work, we consider special problem consisting of twelfth order two-point boundary value by using the Optimal Homotopy Asymptotic Method (OHAM). The proposed method has been thoroughly tested on problems of all kinds and shows very... more
Fuzzy Fixed Point Theory has emerged as a powerful tool in addressing uncertainties in numerical methods for solving fuzzy equations. This theory extends classical fixed point concepts to fuzzy environments, enabling the resolution of... more
In the present paper, two methods for the solution of an initial valued first ordered fuzzy differential equation are presented and applied in a fuzzy EOQ model. The constructed model is a bi‐level inventory problem involving... more
In this paper, a reliable numerical technique is proposed for solving a class of singular fractional differential equations involving Fredholm and Volterra operators subjected to suitable three-point boundary conditions. The solution... more
Chemostat is a continuous stirred tank reactor used for continuous microbial biomass production in commercial, medical and other research problems. While modeling real world phenomena through differential equations as backbone of... more
In this article, we apply Homotopy Perturbation Method (HPM) for solving three coupled non-linear equations which play an important role in biosystems. To illustrate the capability and reliability of this method. Numerical example is... more
The mathematical structure of some natural phenomena of nonlinear physical and engineering systems can be described by a combination of fuzzy differential equations that often behave in a way that cannot be fully understood. In this work,... more
In order to obtain sufficient solutions for fuzzy differential equations (FDEs), reliable and efficient approximation methods are necessary. Approximate numerical methods can not directly solve fuzzy HIV models. Meanwhile, the approximate... more
The paper represents a variation of the national income determination model with discrete and continuous process in fuzzy environment, a significant implication in economics planning, by means of fuzzy assumptions. This model is... more
In this article, we present a one-step hybrid block method for approximating the solutions of second-order fuzzy initial value problems. We prove the stability and convergence results of the method and present several examples to... more
Theory of fuzzy differential equations is the important new developments to model various science and engineering problems of uncertain nature because this theory represents a natural way to model dynamical systems under uncertainty.... more
Present paper proposes a new technique based on double parametric form of fuzzy numbers to solve an uncertain beam equation using Adomian decomposition method subject to unit step and impulse loads. Uncertainties appear in the initial... more
This paper proposes a new technique based on double parametric form of fuzzy numbers to handle the uncertain vibration equation for very large membrane for different particular cases. Uncertainties present in the initial condition and the... more
Chemostat is a continuous stirred tank reactor used for continuous microbial biomass production in commercial, medical and other research problems. While modeling real world phenomena through differential equations as backbone of... more
The critical slowing down (CSD) phenomenon of the switching time in response to perturbation β (0 < β < 1) of the control parameters at the critical points of the steady state bistable curves, associated with two biological models... more
Chemostat is a continuous stirred tank reactor used for continuous microbial biomass production in commercial, medical and other research problems. While modeling real world phenomena through differential equations as backbone of... more
In this paper, we discuss the stability analysis of logistic growth model with immigration function in fuzzy environment. The notion of generalized Hukuhara (gH) differentiability is used for the analysis when the immigration function is... more
The main focus of this paper is to develop an efficient analytical method to obtain the traveling wave fuzzy solution for the fuzzy generalized Hukuhara conformable fractional equations by considering the type of generalized Hukuhara... more
The main purpose of this paper is to obtain an analytical solution for the time-fractional fuzzy equation. To do this, the time-fractional equation is  transformed into an algebraic equation using the fuzzy Laplace and Fourier transforms.... more
Bearing in mind the considerable importance of fuzzy differential equations (FDEs) in different fields of science and engineering, in this paper, nonlinear nth order FDEs are approximated, heuristically. The analysis is carried out on... more
This paper presents the fifth order Runge-Kutta method (RK5) to find the numerical solution of the second order initial value problems of Bratu-type ordinary differential equations. In order to justify the validity and effectiveness of... more
In this paper we propose a new analytical approach to the study of human gait dynamics. A new and reliable method, namely the Optimal Auxiliary Functions Method (OAFM) is employed to obtain explicit and accurate analytical solutions. The... more
In this paper, we consider the following class of singular two-point boundary value problem posed on the interval x (0, 1] (g(x)y) = g(x)f (x, y), y (0) = 0, μy(1) + σy (1) = B. A recursive scheme is developed, and its convergence... more
In this paper, we have obtained an approximate solution of multi-term Caputo fractional differential equations (MFDEs) using the Variational iteration method (VIM). Further, we have obtained the convergence criteria and error... more
This paper targets to investigate the numerical solution of linear, non-linear and system of ordinary differential equations with fuzzy initial condition. Here, two Euler type methods have been proposed in order to obtain numerical... more
This paper investigates the nonlinear boundary value problem resulting from the exact reduction of the Navier-Stokes equations for unsteady magnetohydrodynamic boundary layer flow over the stretching/shrinking permeable sheet submerged in... more
The point of this paper is to analyze and investigate the analytic-approximate solutions for fractional system of Volterra integro-differential equations in framework of Caputo-Fabrizio operator. The methodology relies on creating the... more
Interactivity naturally occurs in many realworld problems. The main goal of this paper is to propose a first approach toward characterizing the interactivity that is inherently present in the derivative of an unknown interval or fuzzy... more
In this work, variation of parameter method is applied to study two-dimensional flow of nanofluid in a porous channel through slowly deforming walls with suction or injection. The results of the developed approximate analytical solution... more
In this paper, we applied Optimal Homotopy Asymptotic Method (OHAM) to obtained numerical solution of nonlinear Benjamin-Bona-Mahony (BBM) and Sawada-Kotera (SK) equations. For BBM equation, solution of proposed method is compared with... more
In this paper, new solutions to nonlinear pseudo-hyperbolic equations with non-local conditions by residual power series (RPS) method is given. This method is based on the Taylor series formula and the residual error function. A new... more
This paper proposes a new technique based on Galerkin method for solving nth order fuzzy boundary value problem. The proposed method has been illustrated by considering three different cases depending upon the sign of coefficients with... more
In this article, we propose a new method that determines an efficient numerical procedure for solving second-order fuzzy Volterra integro-differential equations in a Hilbert space. This method illustrates the ability of the reproducing... more
In this paper, we first propose the right and the left fuzzy Riemann-Liouville integrals; then the related left and right fuzzy Caputo differentiabilities are introduced. Consequently, some useful results about integration and... more
In this paper, we study the numerical method for solving hybrid fuzzy differential using Euler method under generalized Hukuhara differentiability. To this end, we determine the Euler method for both cases of H-differentiability. Also,... more
In this paper, numerical algorithms for solving “fuzzy ordinary differential equations” are considered. A scheme based on the Taylor method of order p is discussed in detail and this is followed by a complete error analysis. The algorithm... more
There are three types of problems that arise in the numerical analysis of differential equations: (i) the initial value problem (IVP), (ii) the boundary value problem (BVP), and (iii) IVP + BVP. In general, it is natural that (i) and (ii)... more
Functional laws may be known only at a finite number of points, and then the function is completed by interpolation techniques obeying some smoothness conditions. We rather propose here to specify constraints by means of gradual rules for... more
We use the expansion formula for the fractional derivatives to reduce the problem of solving non-linear fractional order differential equations arising in mechanics to the problem of solving a system of integer order differential... more
Download research papers for free!