Academia.eduAcademia.edu

Bed Roughness

description34 papers
group0 followers
lightbulbAbout this topic
Bed roughness refers to the irregularities and variations in the surface texture of a riverbed, streambed, or other aquatic environments. It influences fluid flow characteristics, sediment transport, and ecological dynamics by affecting turbulence, resistance, and habitat availability for aquatic organisms.
lightbulbAbout this topic
Bed roughness refers to the irregularities and variations in the surface texture of a riverbed, streambed, or other aquatic environments. It influences fluid flow characteristics, sediment transport, and ecological dynamics by affecting turbulence, resistance, and habitat availability for aquatic organisms.
The open-source finite-element system Telemac has been applied to simulate various complex hydrodynamic and morphodynamic situations including waterways, curved channels, recirculating flows and wave-induced littoral transport. In the... more
Estimating channel roughness is crucial for whatever engineering plans that have been in mind for any reach under consideration. Not only is resistance coefficient not a measurable quantity, but also various factors affecting on its value... more
This study uses machine learning (ML) to predict the end-depth structure's discharge and critical depth (yc). Linear regression, M5P, random forest, random tree, reduced error pruning tree, and Gaussian process (GP) are the ML methods... more
In this paper twelve different empirical resistance coefficients expressed in terms of Manning's roughness are used apiece in seventeen known compositing methods. The data obtained from ten different cross-sections of the Sefidrood River,... more
With the populations of anadromous salmonids in steep decline throughout California, many river restoration projects attempt to bring fish back to tributaries by enabling fish passage and creating spawning habitat. Carneros Creek, a... more
Uncertainty affects estimates of the power potential of tidal currents, resulting in large ranges in values reported for a given site, such as the Pentland Firth, UK. We examine the role of bottom friction, one of the most important... more
Estimates of the heights of large (0.1-0.4 m heights and 1-10 m horizontal lengths) migrating bedforms on a sandy beach made with fixed, single-point altimeters are similar to heights estimated from profiles across the bedforms made with... more
A numerical analysis of the ridges on the bed of wide, open channels and their effects on the distribution of secondary currents and wall shear is undertaken using CFD (Computational Fluid Dynamics). The presence of the lines of boil,... more
Subglacial roughness can be determined at variety of length scales from radio-echo sounding (RES) data; either via statistical analysis of along-track topography, or inferred from basal radar scattering. Past studies have demonstrated... more
Uncertainty affects estimates of the power potential of tidal currents, resulting in large ranges in values reported for sites such as the Pentland Firth, UK. Kreitmair et al. (2019, R. Soc. open sci. 6 , 180941. ( doi:10.1098/rsos.191127... more
This paper examines the discharge and velocity distributions in natural open channel flows using the entropy theory. Flow measurements were carried out at four different cross‐sections in central Turkey. The mean and maximum velocities at... more
by Hubert Chanson and 
1 more
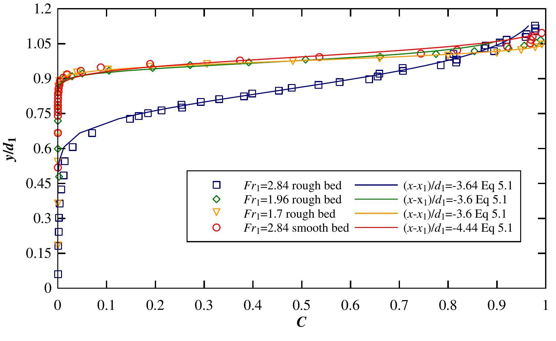
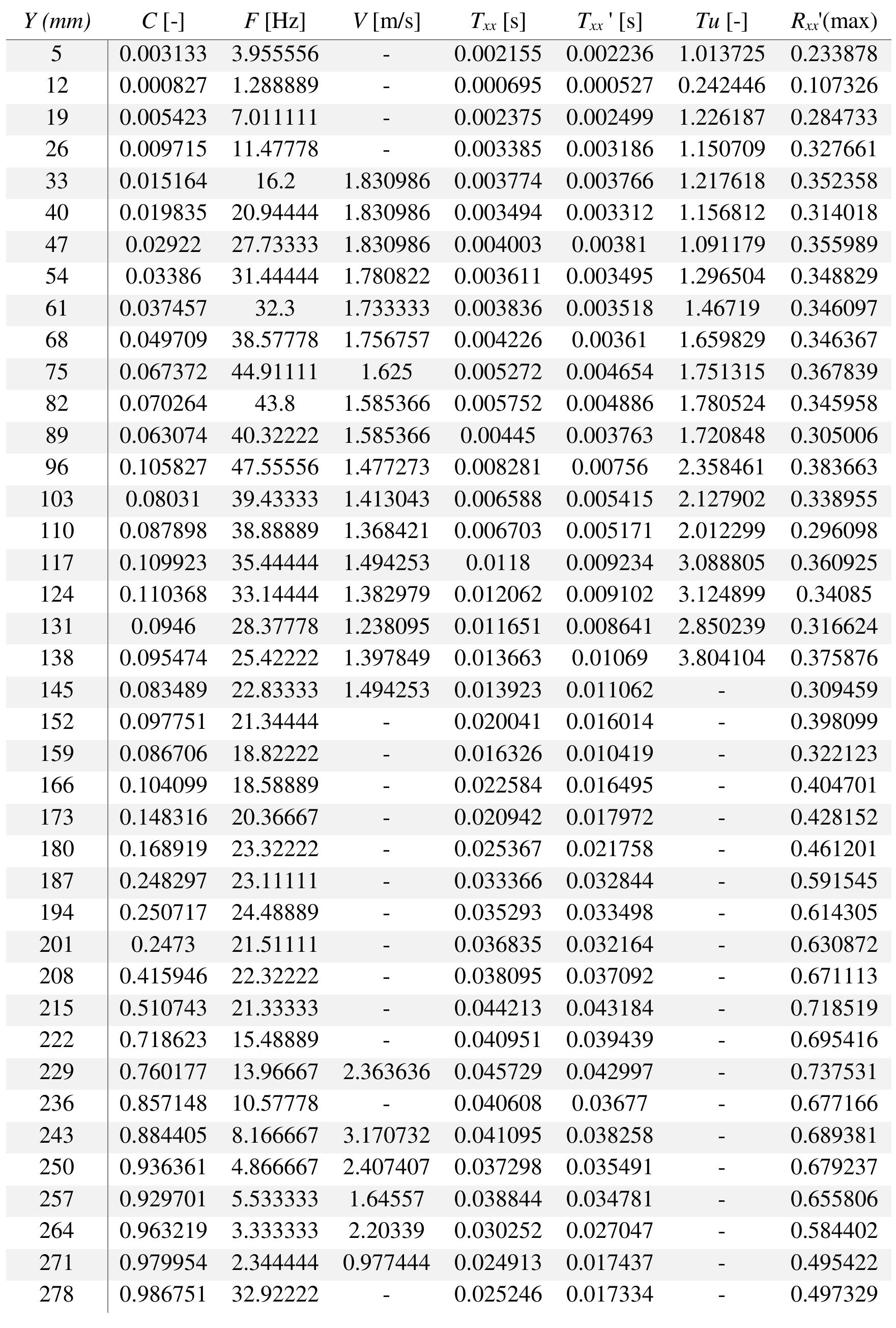
A hydraulic jump takes place when a shallow high-speed free-surface flow impinges into a deeper slower flow region. Besides a sudden increase in depth, the most significant flow features include large turbulence seen both at the... more
Hydraulic jumps are induced in hydraulic facilities for the purposes of energy dissipation or flow aeration. Presently there is no means for a simple estimate of void fraction distribution and air entrainment flux, without detailed... more
A hydraulic jump is a rapidly-varied open channel flow characterised by the sudden transition from a supercritical flow motion to a subcritical regime. The transition is associated with a rapid increase of water depth, a highly turbulent... more
A hydraulic jump is the sudden transition from a high-velocity impinging flow into a turbulent roller in an open channel. Substantial amounts of air are entrapped at the impingement point, and significant free-surface fluctuations take... more
A free-surface flow can change from a supercritical to subcritical flow with a strong dissipative phenomenon called a hydraulic jump. Herein the progress and development in turbulent hydraulic jumps are reviewed with a focus on hydraulic... more
In the field of river restoration sciences there is a growing need for analytical modeling tools and quantitative processes to help identify and prioritize project sites. Twodimensional (2D) hydraulic models have become more common in... more
Velocity profiles were investigated for a natural stream by entropy theory. Flow was measured by Acoustic Doppler Velocimeter (ADV) at different times and periods during seven site visits on the Sarımsaklı stream, which flows through... more
A numerical analysis of the ridges on the bed of wide, open channels and their effects on the distribution of secondary currents and wall shear is undertaken using CFD (Computational Fluid Dynamics). The presence of the lines of boil,... more
The hydraulic jump is a sudden transition from a supercritical flow to a subcritical motion, characterised by strong turbulence, air entrainment and energy dissipation. A hydraulic jump results in strong interactions between turbulence,... more
Hydraulic jumps occur when upstream supercritical flow suddenly transitions into downstream subcritical flows. Extremely turbulent flow of the hydraulic jump associated with the development of large-scale turbulence, surface waves and... more
Estimating channel roughness is crucial for whatever engineering plans that have been in mind for any reach under consideration. Not only is resistance coefficient not a measurable quantity, but also various factors affecting on its value... more
Estimating channel roughness is crucial for whatever engineering plans that have been in mind for any reach under consideration. Not only is resistance coefficient not a measurable quantity, but also various factors affecting on its value... more
The presence of Jeringau (Acorus calamus) as flexible vegetation type in the channel against flow resistance
A tidal bore is an unsteady flow motion generated by the rapid water level rise at the river mouth during the early flood tide under appropriate macro-tidal and bathymetric conditions. The present study investigated physically the... more
A positive surge results from a sudden change in flow that increases the depth, and a geophysical application is the tidal bore. Mew experimental investigations were conducted in a rectangular channel and detailed unsteady velocity... more
Bélanger equation: momentum equation applied across a hydraulic jump in a horizontal channel; the equation was named after Jean-Baptiste BELANGER (1828). Éteules: French for whelps. Fawer jump: undular hydraulic jump. Hydraulic jump:... more
A tidal bore is a wave propagating upstream as the tidal flow turns to rising. It forms during spring tide conditions when the flood tide is confined to a narrow funneled channel. To date, theoretical and numerical studies rely upon... more
The spatially distributed effects of riparian vegetation on fluvial hydrodynamics during low flows to large floods are poorly documented. Drawing on a LiDAR-derived, meter-scale resolution raster of vegetation canopy height as well as an... more
The open-source finite-element system Telemac has been applied to simulate various complex hydrodynamic and morphodynamic situations including waterways, curved channels, recirculating flows and wave-induced littoral transport. In the... more
A numerical analysis of the ridges on the bed of wide, open channels and their effects on the distribution of secondary currents and wall shear is undertaken using CFD (Computational Fluid Dynamics). The presence of the lines of boil,... more
Characterizing streambed morphology is crucial to better understand fluvial systems, since the streambed is an important control on stream dynamics, particle motion and bed stability. Measurement apparatus like terrestrial laser scanners... more
A modified log-wake law is proposed to describe turbulent velocity profiles in smooth rectangular open-channels. The new law consists of three components: a log term, a wake term, and a free surface term. The log term reflects the channel... more
Flow over sand bed occurs frequently in nature. Riverbeds are usually composed of non-uniform sediment mixtures and the respective particle size distribution of sediment in transport is generally finer than the distribution of bed... more
The relation between the equivalent roughness and different grain size percentiles of the sediment in gravel-bed rivers was determined under the hypothesis that the vertical distribution of the flow velocity follows a logarithmic law. A... more
Velocity profiles were investigated for a natural stream by entropy theory. Flow was measured by Acoustic Doppler Velocimeter (ADV) at different times and periods during seven site visits on the Sarımsaklı stream, which flows through... more
On cherche ici à valider l’utilisation de profils de vitesses en canal ouvert à fond rugueux, formules logarithmiques ou fondées sur un principe d’entropie maximale. Pour atteindre cet objectif, 24 expériences de laboratoire, avec plus de... more
The paper presents a fuzzy logic speed control system based on fuzzy logic approach for an indirect vector controlled induction motor drive for high performance. The analysis, design and simulation of the fuzzy logic controller for... more
We present an experimental analysis of hydraulic roughness variations due to changes in alluvial cover in a mixed bedrock-alluvial meandering channel with larger bedrock roughness than alluvial roughness. Three sets of experiments were... more
Estimating channel roughness is crucial for whatever engineering plans that have been in mind for any reach under consideration. Not only is resistance coefficient not a measurable quantity, but also various factors affecting on its value... more
In free-surface turbulent flows, large amount of air may be entrapped and advected in the water current. The resulting air-water flows are frequently observed in natural water systems, where they are also relevant to water quality,... more
The hydraulic jump is a sudden transition from a supercritical flow to a subcritical motion, characterised by strong turbulence, air entrainment and energy dissipation. A hydraulic jump results in strong interactions between turbulence,... more
The spatially distributed effects of riparian vegetation on fluvial hydrodynamics during low flows to large floods are poorly documented. Drawing on a LiDAR-derived, meter-scale resolution raster of vegetation canopy height as well as an... more
This paper describes the conditions for initiation and maintenance of secondary currents in open channel flows. By analyzing the Reynolds equation in the wall-normal and wall-tangent directions, this study reveals that, like other types... more
The hydraulic jump is a sudden transition from a supercritical flow to a subcritical motion, characterised by strong turbulence, air entrainment and energy dissipation. A hydraulic jump results in strong interactions between turbulence,... more
Seven series of laboratory experiments were carried out in a re-circulating glass sided tilting flume to investigate the instantaneous nearbed streamwise flow velocities in different duration of constant flowrates. Each series were... more
Average shear stress is an important parameter for prediction of sediment transport, bank protection and other river engineering problems in natural streams. For this purpose velocity measurements were taken on Kızılırmak River sub... more
ABSTRACT: The velocity and turbulence distributions of decelerating open-channel flow in a gradual expansion were measured using LDV equipment. The results show that the logarithmic law can describe the mean velocity in the bottom region... more
Riparian vegetation, an indicator of healthy river system, increases the hydraulic roughness and reduces the conveyance capacity of a channel. Vegetation provides dominant drag force influencing the velocity distribution, turbulence... more
In open channel flows, such as in streams and rivers, the hydraulic jump is a sudden transition from a high-velocity, supercritical flow into a slow-moving, subcritical flow. It is characterized by a sharp rise of the free-surface... more
Download research papers for free!