Academia.eduAcademia.edu

TOTAL ORDER BROADCAST

description11 papers
group0 followers
lightbulbAbout this topic
Total order broadcast is a communication protocol in distributed systems that ensures messages are delivered to all nodes in the same sequence, regardless of the order in which they were sent. This guarantees consistency and coordination among distributed processes, enabling reliable data sharing and synchronization.
lightbulbAbout this topic
Total order broadcast is a communication protocol in distributed systems that ensures messages are delivered to all nodes in the same sequence, regardless of the order in which they were sent. This guarantees consistency and coordination among distributed processes, enabling reliable data sharing and synchronization.
4. Academic Interests 4.A. Current Research Interests a. Formal Methods with special interests in system modeling, Refinement of distributed systems and verification of critical properties. b. Verification and reasoning about distributed... more
To build a high quality and zero defects medical devices and softwares is a crucial task. Formal modeling techniques help to achieve this target at certain level. Formal modeling of High-Confidence Medical devices those are too much error... more
Uniform reliable broadcast (URB) is an important abstraction in distributed systems, offering delivery guarantee when spreading messages between processes. Informally, URB guarantees that if a process (correct or not) delivers a message... more
In a replicated database system, copies of the database are kept across several sites for fault-tolerance and availability. Data access in such systems is usually done within a transactional framework. A readonly transaction accesses data... more
When referring to this work, full bibliographic details including the author, title, awarding institution and date of the thesis must be given e.g. AUTHOR (year of submission) "Full thesis title",
The use of formal methods to develop a model of a system, specifying critical properties and the verification of them is a way of obtaining better design of dependable services. Event-B is a formal technique for the development of models... more
Reliable broadcast is a powerful primitive guaranteeing that, intuitively, all processes in a distributed system deliver the same set of messages. Œere is a twofold reason why this primitive is appealing: (i) we can implement it... more
Total Order Broadcast (or Atomic Broadcast) primitives have received a lot of attention, this paper concentrates on Total Order Multicast to Multiple Groups in the context of asynchronous distributed systems in which processes may suffer... more
Total Order Broadcast (or Atomic Broadcast) primitives have received a lot of attention, this paper concentrates on Total Order Multicast to Multiple Groups in the context of asynchronous distributed systems in which processes may suffer... more
Some form of migrating process, i.e., a process that can change the node during its execution, is being frequently proposed as a basic component for designing distributed applications. Similarly to distributed applications based on static... more
During the last two decades the design and development of total order (TO) communications has been one of the main research topics in dependable distributed computing. The huge amount of research work has produced several TO... more
Recent advances in communication technology enable the emergence of a new generation of applications that integrates mobile devices with classical high performance systems as part of a common computing environment. In such environments,... more
Total Order Broadcast protocols are important tools to ensure coherence across distributed systems. Contrarily to classical distributed systems, pervasive systems bring important constraints related to the performance and reliability of... more
A large class of safety-critical control systems contains monitoring subsystems that display certain system parameters to (human) operators. Ensuring that the displayed data are sufficiently fresh and non-corrupted constitutes an... more
Total Order Broadcast protocols are important tools to ensure coherence across distributed systems. Contrarily to classical distributed systems, pervasive systems bring important constraints related to the performance and reliability of... more
A reliable broadcast is communication primitive used to develop fault tolerant distributed applications. It in due course delivers messages to all participating sites irrespective of their ordering. Total order broadcast impose... more
The development of complex system makes challenging task for correct software development. Due to faulty specification, software may involve errors. The traditional testing methods are not sufficient to verify the correctness of such... more
In the last two decades the development of Total Order (TO) broadcast and multicast communication over asynchronous distributed systems have been one of the main research issues in dependable distributed computing. As a result, a huge... more
Two methods have been identified for Event-B model decomposition: shared variable and shared event. The purpose of this paper is to introduce the two approaches and the respective tool support in the Rodin platform. Besides alleviating... more
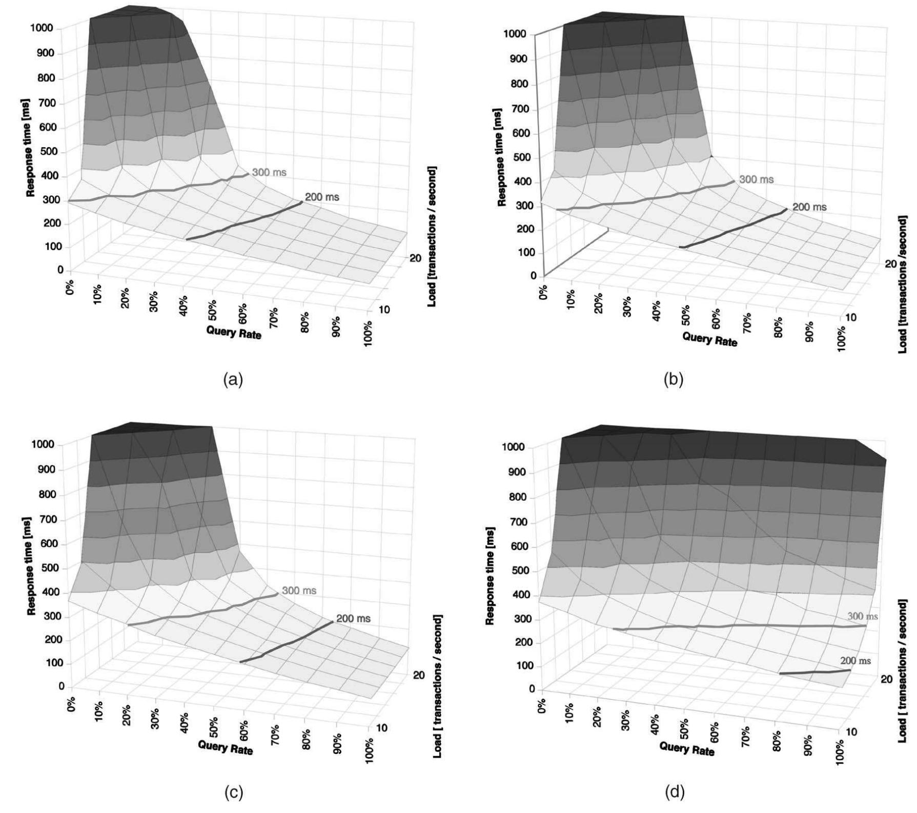
In this paper, we present a performance comparison of database replication techniques based on total order broadcast. While the performance of total order broadcast-based replication techniques has been studied in previous papers, this... more
In a replicated database system, copies of the database are kept across several sites for fault-tolerance and availability. Data access in such systems is usually done within a transactional framework. A read-only transaction accesses... more
Causal and total order broadcast has been proposed as a mechanism to provide fault tolerance for constructing reliable distributed systems. The use of formal methods to develop a model of a system, specifying critical properties and the... more
Abstract The use of formal methods to develop a model of a system, specifying critical properties and the verification of them is a way of obtaining better design of dependable services. Event-B is a formal technique for the development... more
Download research papers for free!