Academia.eduAcademia.edu

Sensory Evaluation

description4,463 papers
group11,254 followers
lightbulbAbout this topic
Sensory evaluation is a scientific discipline that uses human senses to measure and analyze the sensory characteristics of products, particularly food and beverages. It involves systematic testing to assess attributes such as taste, aroma, texture, and appearance, providing objective data to inform product development and quality control.
lightbulbAbout this topic
Sensory evaluation is a scientific discipline that uses human senses to measure and analyze the sensory characteristics of products, particularly food and beverages. It involves systematic testing to assess attributes such as taste, aroma, texture, and appearance, providing objective data to inform product development and quality control.

Key research themes

1. How have sensory evaluation methods evolved to improve panel performance and product characterization?

This theme focuses on the development and refinement of sensory evaluation methodologies, particularly descriptive and difference tests, aiming to enhance accuracy, reliability, and efficiency of sensory panels. The evolution from classical descriptive analyses to novel rapid profiling methods facilitates better understanding of sensory drivers, product differentiation, and panelist training and monitoring approaches.

Key finding: This review systematically chronicles the historical and methodological progression of sensory evaluation, tracing classical descriptive analyses and discrimination tests starting from the 1930s and 1940s to advanced methods... Read more
Key finding: This article provides an in-depth synthesis of sensory panel performance metrics assessing assessors' reliability, validity, consistency, and sensitivity. It emphasizes the necessity of rigorous panelist selection, training,... Read more
Key finding: Focusing on olfactory sensory panels, this study articulates protocols for recruitment, extended training, and operational management specific to odor nuisance assessments, addressing challenges of subjectivity and panelist... Read more
Key finding: This research innovates by integrating wearable sensors (ECG and skin conductance) to quantitatively evaluate autonomic nervous system modulation during olfactory sensory training. It provides evidence that even brief... Read more

2. What is the impact of sensory marketing and multisensory environments on consumer perception and well-being?

This theme investigates how intentional sensory stimuli across multiple modalities influence consumer attitudes, behaviors, and emotional responses in contexts ranging from advertising to environmental design. Research covers sensory marketing strategies that harness vision, touch, smell, and audition to shape purchase intentions and brand engagement, as well as applications of multisensory environments (MSEs) for therapeutic and leisure purposes, emphasizing the role of sensory design in enhancing user experiences and health outcomes.

Key finding: This comprehensive review elucidates how multi-sensory advertising activates consumer mental simulation and imagery, with factors like product orientation matched to handedness enhancing engagement and purchase intentions. It... Read more
Key finding: The review consolidates evidence from 33 studies documenting that MSEs—encompassing controlled visual, auditory, tactile, olfactory, proprioceptive, and gustatory stimuli—provide therapeutic and leisure benefits for diverse... Read more
Key finding: This article synthesizes existing case studies to identify sensory design features in birth environments that reduce stress and support physiological processes critical for childbirth. It underscores the importance of... Read more
Key finding: This interdisciplinary investigation articulates the unique challenges and opportunities of incorporating olfaction within multisensorial design, noting scent’s high sensitivity, variable perception, and strong emotional... Read more

3. How can technology advance sensory evaluation and assessment beyond traditional settings?

This theme explores emerging technological innovations—wearable sensors, computerized rating scales, and digital olfactory displays—that extend sensory evaluation capabilities outside laboratory or clinical contexts. It examines methodologies enabling remote or continuous assessment of sensory perceptions (e.g., olfactory, visual, auditory stimuli) and emphasizes technological aids in training sensory panels, objective measurement of autonomic responses, and enhancement of ecological validity, aiming to increase efficiency, accuracy, and accessibility of sensory data collection and training in real-world environments.

Key finding: This study develops and validates a novel computerized two-dimensional rating scale, adapted from the Gracely Box Scale, enabling participants to provide continuous, simultaneous intensity ratings on two sensory dimensions in... Read more
Key finding: Introducing 'Exerscent,' a portable, low-cost, computer-controlled olfactory display employing RFID-tagged odor stimuli for unsupervised assessment and training, this paper demonstrates hardware and software integration... Read more
Key finding: Applying wearable technologies to capture ECG and skin conductance responses during olfactory sensory training, this study evidences that short intensive training elicits measurable autonomic nervous system adaptations... Read more
Key finding: This technical survey outlines scent generation and delivery technologies foundational to constructing computer-controlled olfactory displays. It categorizes methods including vaporization, atomization, and scent switching,... Read more

All papers in Sensory Evaluation

This manuscript focuses on two areas: the review of the history and growth of the QC/sensory evaluation field, and the discussion of the new developments and the future opportunities of this field. This discussion applies to programs... more
Soursop juice was submitted to sonication at amplitude levels ranging from 20 to 100 % of the total input power (500 W) at constant frequency of 19 kHz for different times (2e10 min). Response surface methodology based on a central... more
Wine production is a very old finding and it is defined as an alcoholic beverage obtained from grape juice using yeast as a fermenting organism [1]. With the progress of biotechnology many changes were brought in traditional wine making... more
The suitability of stevioside as a sweetener in peach juice was investigated. Comparison between stevioside and sucrose in terms of sweetness, sweet and bitter aftertastes were determined both in water and peach juice. The results... more
The effects of ozone in aqueous solution on the shelf life of whole, vacuum-packaged rainbow trout, stored under refrigeration (4±0.5 • C) were studied by monitoring the microbiological, chemical and sensory changes for a period of 15... more
Portable and manually operated chapati press cum vermicelli extruder device was designed and fabricated for the preparation of chapatis and vermicelli. Sensory evaluation overall quality scores of 50.15 and 48.4 for pressed chapatis and... more
Fish Protein concentrate (FPC) from low value tilapia (Oreochromis niloticus) which would otherwise have been discarded, was used in certain proportions (0%, 5%, 10% and 15%), in addition to wheat flour, for the production of chin-chin in... more
The aim of the study was to develop a Quality Index Method (QIM) scheme for raw, farmed Atlantic salmon (Salmo salar) and to evaluate the scheme in a shelf life study. QIM is based on the evaluation of key parameters in the deterioration... more
We investigated the time-course changes in the elasticity index (EI) and the texture index (TI) 2 of pears (Pyrus communis L.), namely, 'La France' during the postharvest period. EI was 3 determined using a formula EI = f 2 2 ·m 2/3 ,... more
A new probiotic product named ROSALACT was obtained from pasteurized milk with medicinal plants extracts (rosehip extract and liquorice extract) using a mixed culture of probiotic bacteria ABT 5, supplied by Chr. Hansen (Copenhagen,... more
... The use of starter cultures in the fermentation of boza, a traditional Turkish beverage. Murat Zorba a , Omre Hancioglu a , Mahmut Genc a , Mehmet Karapinar Corresponding Author Contact Information , a , E-mail The Corresponding... more
Starch isolated from lotus stem was treated by gamma-irradiation at different doses of 5, 10 and 20 kGy. Physicochemical, morphological and pasting properties of irradiated lotus stem starches were investigated and these properties... more
The masticatory pattern of meat and meat products, varying from red meat to sausages of frankfurter type, was registered by ten strain gauges attached to a prosthetic appliance. The deformation rates measured could be as high as 200 -400... more
Barbeque, sour cream and onion, salt and vinegar, nacho cheese, and salsa seasonings were applied to potato chips at 0 and 25 kV. Sensory evaluation determined that electrostatically coated chips had better coating uniformity and were... more
To flour tortillas formulations containing 25 g/100 g of pinto bean flour, 0.5 g/100 g and 0.75 g/100 g of guar gum and sodium carboxymethyl cellulose (CMC) were added and their shelf stability was studied at 4 and 25 C over 7 days.... more
Single strength orange juice was concentrated by reverse osmosis in a plate and frame pilot plant with 0.72m2 of filtration area. Three transmembrane pressures, 20, 40 and 60bar, were evaluated and concentration factors of 2.3, 3.8 and... more
In order to study storage time, sensory properties and acceptability among consumers, regular, free-sugar (sucralose [Sucra] or stevioside [Ste]) and free-sugar/reduced calorie (Sucra or Ste], with whey protein concentrate as fat... more
The effect of two novel hydrocolloids known as Balangu seed gum (BSG) and palmate-tuber salep (PTS) with carboxymethylcellulose (CMC) on the rheological characteristics of a typical soft ice cream was studied. The power law model well... more
A study was carried out to evaluate the effects of frying pressure (102 and 156 kPa) and temperature (150, 165 and 180°C) on sensory characteristics of chicken nuggets coated with wheat, rice and sago flours. Batters from wheat, rice and... more
The expansion of volume (the puffing index) of naked barley was investigated at various operating conditions of the puffing process. The purpose was to optimise the manufacture of expanded grains of the naked barley cultivars that have... more
Micronutrient deficiency is raising concern worldwide, especially among children and pregnant women in Africa, Southern Asia, and certain developing countries, posing a significant risk to the nutritional status. This study aimed to... more
ABSTRACT: Small peptides (MW < 1000 g/mol) and volatile fatty acids of goat cheese were studied for their favorite properties. The threshold values of 4-methyl- and 4-ethyl-octanoic acids-responsible for the typical goat note were... more
This work evaluated the effect of two commercial pectolytic enzymes on some oenological parameters before and after enzymatic treatments with pre-fermentative dynamic maceration at room temperature for three hours. The study was conducted... more
Changes in pH, titrable acidity, protein, non-protein nitrogen, total soluble solids, protein fractions and in vitro protein digestibility were investigated during fermentation and/or after supplementation of sorghum flour with whey... more
A study was conducted to evaluate the effects of leucine supplementation in grower-finisher diets containing varying levels of energy on the sensory characteristics and carcass composition of broiler chickens. In a 2 × 2 factorial... more
Tamarillo (Cyphomandra betaceae) fruits were sourced from a single farmer from the Central province of Kenya soon after harvesting. The fruits were then cleaned and sorted in order to remove all immature and damaged fruits. The resulting... more
Use of trehalose as a novel drying aid to produce freeze-dried strawberry puree was studied and compared with conventional drying aids for fruit purees, namely sucrose and maltodextrin (MD). Glass transition temperature (Tg), colour,... more
A new method for measuring fruit-to-fruit variation in strawberries by both sensory and instrumental analyses was developed and applied. The method allowed quantification of fruit-to-fruit variation in sensory attributes and instrumental... more
Kefir grains were prepared in a goat-hide bag using pasteurized milk inoculated with sheep intestinal flora, followed by culture of the surface layer in milk. From the grain, 11 strains of lactic acid bacteria, non-lactic acid bacteria... more
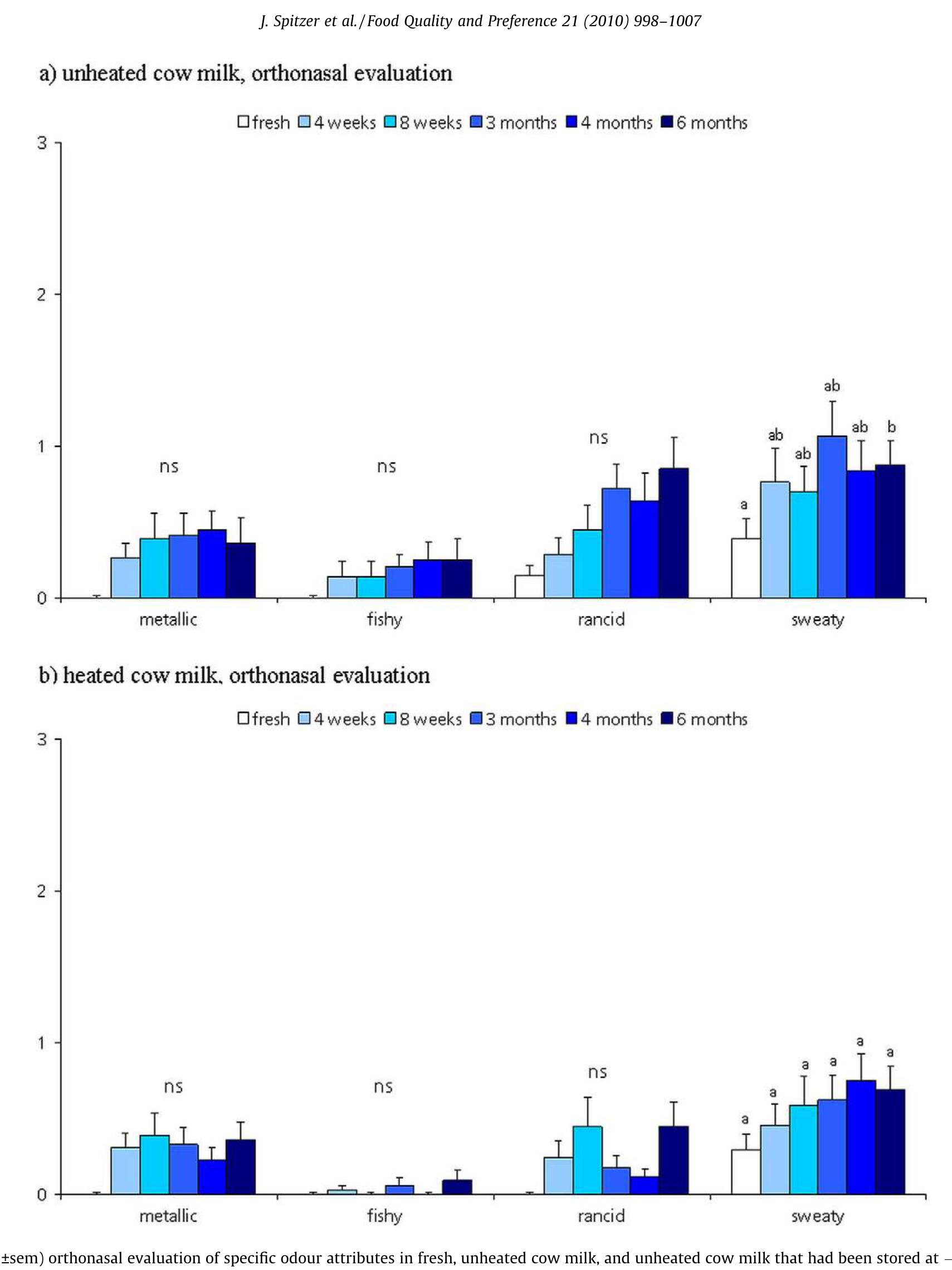
The effects of freeze-storage on human milk have been investigated with regard to sensory changes and modifications in the molecular composition of constituent odour-active volatiles. Sensory evaluation showed that fishy-metallic odour... more
The appreciation of food is based on the perception of many senses; in fact for a total estimation the human senses are involved. Biomimetics as the 'abstraction of good design from nature' is to analyze and tap nature's huge reservoir of... more
New value-added product was derived from agricultural by-products: rice bran and soybean meal by means of subcritical water (SW) hydrolysis. The effect of temperature (200-220°C), reaction time (10-30 min), raw material-to-water weight... more
In this study the effect of addition of ellagic acid (at three different concentrations) into candelilla wax matrix on shelf life and quality of whole avocados was studied. Control treatments were avocados coated with candelilla wax... more
The American Food and Drug Administration is enforcing the law requiring labeling of trans fats on nutrition labels since January 1, 2006. This law has created a push to reformulate deep-fat frying oils. Prior to this law, frying oils... more
North American peppermint oils are widely regarded as some of the most superior peppermint oils commercially available. Amongst them is Yakima double-cut peppermint oil (Mentha piperita L.). It has an aroma described as strong,... more
Possibility of using full fat soy flour (FFSF) for replacer for whole milk powder (WMP), stevia-mannitol blend as replacer for sugar and soybean oil (SBO) as replacer for cocoa butter in chocolate manufacture without impairing the sensory... more
The effect of different levels of unrefined fish oil in the diet on ostrich Musculus iliofibularis was evaluated in a completely randomised experimental design, where a supplementary energy rich feed, containing 6.7% fish oil, was fed at... more
This study was intended to extend, by optimizing modified atmosphere packaging (MAP), the shelf-life of the Italian vegetable sauce used for spaghetti and known as 'pesto'. A mathematical model was developed in order to predict gas... more
It is indeed ironic that despite the importance of pleasure as a central theme in both the practice and theory of travel, there is a critical absence of knowledge from which to theoretically and conceptually situate this concept in our... more
The effects of short-chain fructooligosaccharides (sc-FOS) on colour, textural and sensory properties in dry fermented sausages have been studied. The sausages were manufactured with three different amounts of backfat (30%, 15% and 6%).... more
Pre-fermentation cold maceration of must by the direct addition of two cryogens was studied. The experiments were conducted on Sangiovese grape from a typical Chianti vineyard in the year 2001 with two cryogens (solid state carbon dioxide... more
The utilization of protein hydrolysates in food systems is frequently hindered due to their bitterness and hygroscopicity. Spray drying technology could be an alternative for reducing these problems. The aim of this work was to reduce or... more
Des essais de comparaison entre l'huile brute du noyau d'Irvingia gabonensis (mangue sauvage) et quatre huiles commerciales d e eriv e ees de palme (huile de palme brute, Mula palm, st e earine, Palm'or) par rapport a a leur comportement... more
Resistant starches (RS) can be used in food industry to enhance the dietary fiber content of different cereal based products such as pasta and bread. The aim of present study was to develop and evaluate the physical and functional... more
Baking is a developing industry in Pakistan, which is growing in size. The people are becoming more conscious about their health and nutrition. Foods that are convenient, with good taste, reasonably priced and superior in quality are in... more
Coeliac disease is an antibody-mediated enteropathy that presents permanent intolerance to ingested gluten, for which only treatment is lifelong devotion to a gluten-free diet. The aim of this study was to produce and investigate... more
Storage stability of oat groats processed commercially (conditioning with saturated steam followed by kiln drying) and with superheated steam (SS) was evaluated at room and elevated temperatures (21 and 38 C, respectively) for 26 and 13... more
Buffalo meat nuggets were prepared after equilibrating the ingredients to temperatures of 4, 10, 25 and 37°C. Following comminution for 6 min, the temperatures of the batters were 16.3, 19.3, 27.4 and 34.8°C and their pH and emulsion... more
Download research papers for free!