Academia.eduAcademia.edu

Relative Errors

description21 papers
group0 followers
lightbulbAbout this topic
Relative errors refer to the measure of the uncertainty of a measurement compared to the size of the measurement itself, expressed as a fraction or percentage. It quantifies the accuracy of a measurement by comparing the absolute error to the true value, providing insight into the precision of the measurement in relation to its magnitude.
lightbulbAbout this topic
Relative errors refer to the measure of the uncertainty of a measurement compared to the size of the measurement itself, expressed as a fraction or percentage. It quantifies the accuracy of a measurement by comparing the absolute error to the true value, providing insight into the precision of the measurement in relation to its magnitude.
We consider a fundamental open problem in parametric Bayesian theory, namely the validity of the formal Edgeworth expansion of the posterior density. While the study of valid asymptotic expansions for posterior distributions constitutes a... more
This paper presents results showing that the error involved in using the double saddlepoint distribution function approximations of Skovgaard (1987, J. Appl. Probab. 24 875 887) are uniformly bounded. Particular attention is paid to... more
Saddlepoint Approximations have long been used to approximate densities and distribution functions of random variables with known cumulant generating function defined on an open interval about the origin. This approximation has very... more
The asymptotic distribution of the pairwise log likelihood ratio is a linear combination of independent chi-square random variables with coefficients depending on the elements of the Godambe information. Adjusted versions of the pairwise... more
The class of composite likelihood functions provides a flexible and powerful toolkit to carry out approximate inference for complex statistical models when the full likelihood is either impossible to specify or unfeasible to compute.... more
Assume we use a binary floating-point arithmetic and that RN is the round-to-nearest function. Also assume that c is a constant or a real function of one or more variables, and that we have at our disposal a correctly rounded... more
tL? h 4i|L_ @Uii *L hi*@|i ihhLhtc |)T U@**) @ML| fI W?|hL_U|L? "ih) LT|43@|L? t t|** @? @U|i @hi@ Lu _@|@M@ti hiti@hUc ?L| L?*) uLh hi*@|L?@* _@|@M@tit M| @*tL uLh LMiU|Lhi?|i_ _@|@M@tit ^ih) LT|43ih @4t |L _iU_i L? |i 4Lt| iUi?|^ih) i... more
Floating-point numbers have an intuitive meaning when it comes to physics-based numerical computations, and they have thus become the most common way of approximating real numbers in computers. The IEEE-754 Standard has played a large... more
Load Forecasting is powerful tool to make important decisions such as to purchase and generate the electric power, load switching, development plans and energy supply according to the demand. The important factors for forecasting involve... more
Load Forecasting is powerful tool to make important decisions such as to purchase and generate the electric power, load switching, development plans and energy supply according to the demand. The important factors for forecasting involve... more
We consider a fundamental open problem in parametric Bayesian theory, namely the validity of the formal Edgeworth expansion of the posterior density. While the study of valid asymptotic expansions for posterior distributions constitutes a... more
We give the perturbation bounds for the eigenprojections of a Hermitian matrix H = G JG' , where G has full column rank and J is nonsingular, under the perturbations of the factor G. Our bounds hold, for example, when G is given with... more
We obtain eigenvalue perturbation results for a factorised Hermitian matrix H = GJ G * where J 2 = I and G has full row rank and is perturbed into G + δG, where δG is small with respect to G. This complements the earlier results on the... more
We consider tests or confidence intervals on one of the components of multivariate M-estimates. We obtain marginal tail area approximations for the one-dimensional test statistic based on the appropriate component of the M-estimate for... more
When a unique M-estimate exists, its density is obtained as a corollary to a more general theorem which asserts that under mild conditions the intensity function of the point process of solutions of the estimating equations exists and is... more
Power grid is a common platform connecting all the generating stations and demand centres (loads), where the energy is generated and consumed instantaneously. The demand varies from minute to minute, and the generation needs to be... more
tL? h 4i|L_ @Uii *L hi*@|i ihhLhtc |)T U@**) @ML| fI W?|hL_U|L? "ih) LT|43@|L? t t|** @? @U|i @hi@ Lu _@|@M@ti hiti@hUc ?L| L?*) uLh hi*@|L?@* _@|@M@tit M| @*tL uLh LMiU|Lhi?|i_ _@|@M@tit ^ih) LT|43ih @4t |L _iU_i L? |i 4Lt| iUi?|^ih) i... more
In this paper, we consider the estimation of the unknown parameters of the multiple chirp signal model in presence of additive error. The chirp signals are quite common in many areas of science and engineering, specially sonar, radar,... more
We consider a resampling scheme for parameters estimates in nonlinear regression models. We provide an estimation procedure which recycles, via random weighting, the relevant parameters estimates to construct consistent estimates of the... more
This paper deals with the accuracy of complex division in radix-two floating-point arithmetic. Assuming that a fused multiply-add (FMA) instruction is available and that no underflow/overflow occurs, we study how to ensure high relative... more
We provide a detailed analysis of Kahan's algorithm for the accurate computation of the determinant of a 2 × 2 matrix. This algorithm requires the availability of a fused multiply-add instruction. Assuming radix-β, precision-p... more
We obtain eigenvalue perturbation results for a factorised Hermitian matrix H = GJ G * where J 2 = I and G has full row rank and is perturbed into G + δG, where δG is small with respect to G. This complements the earlier results on the... more
This paper proposes an extension of the log periodogram regression in perturbed long memory series that accounts for the added noise, also allowing for correlation between signal and noise, which represents a common situation in many... more
Two-component mixture distributions with one component a point mass and the other a continuous density may be used as priors for Bayesian inference when sparse representation of an underlying signal is required. We show how saddlepoint... more
Predicting densities of nonconventional solvents like deep eutectic solvents (DESs) as a function of temperature is of considerable importance in the development and design of new processes utilizing these solvents. Because of the nature... more
This manuscript presents an approximation to the distribution function of a smooth transformation of a random vector, conditional on the event that values of other smooth transformations of the same random vector lie in a small rectangle.... more
We consider tests or confidence intervals on one of the components of multivariate M-estimates. We obtain marginal tail area approximations for the one-dimensional test statistic based on the appropriate component of the M-estimate for... more
This manuscript presents an approximation to the distribution function of a smooth transformation of a random vector, conditional on the event that values of other smooth transformations of the same random vector lie in a small rectangle.... more
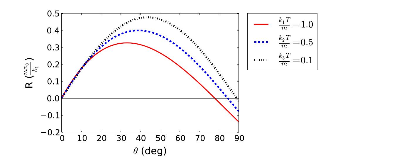
We solved the wind-influenced projectile motion problem with the same initial and final heights and obtained exact analytical expressions for the shape of the trajectory, range, maximum height, time of flight, time of ascent, and time of... more
by F. Najjar and 
1 more
Load Forecasting is powerful tool to make important decisions such as to purchase and generate the electric power, load switching, development plans and energy supply according to the demand. The important factors for forecasting involve... more
Predicting densities of nonconventional solvents like deep eutectic solvents (DESs) as a function of temperature is of considerable importance in the development and design of new processes utilizing these solvents. Because of the nature... more
Download research papers for free!