Academia.eduAcademia.edu

Process Synthesis and Optimization

description30 papers
group1,876 followers
lightbulbAbout this topic
Process Synthesis and Optimization is the field of chemical engineering that focuses on the design and improvement of chemical processes. It involves the systematic development of process flowsheets and the application of mathematical and computational techniques to enhance efficiency, reduce costs, and minimize environmental impact.
lightbulbAbout this topic
Process Synthesis and Optimization is the field of chemical engineering that focuses on the design and improvement of chemical processes. It involves the systematic development of process flowsheets and the application of mathematical and computational techniques to enhance efficiency, reduce costs, and minimize environmental impact.
This supplementary information includes the following sections: S1. Chemical conditions for the NPs production S2. XRD characterization of the synthesized NPs S3. XPS, XANEs and Fourier transform EXAFS of the NPs S5. PLQY measurements S4.... more
Hydroelectricity is an important component of world renewable energy supply and remains a major source of power generation due to its environment friendly nature. Effective water management improves the efficiency of utilization of... more
This work presents an optimisation framework for the routing and equipment design of main pipelines to be used for fluid transmission. There are many considerations in these design problems, involving various constraints, decisions and... more
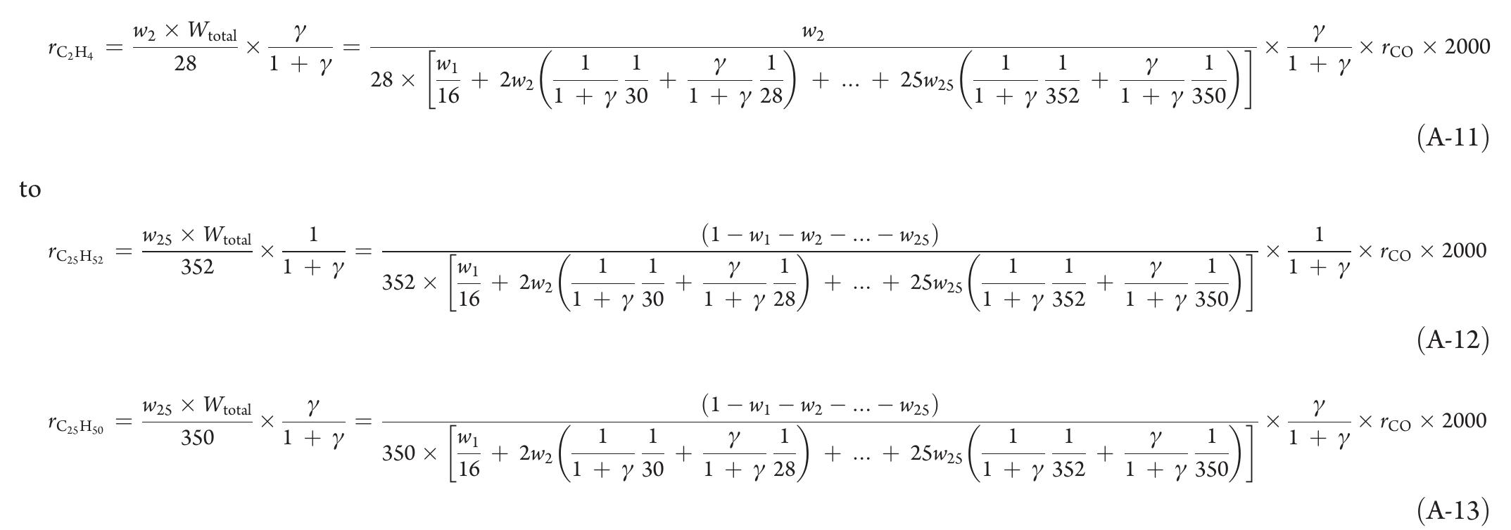
In the present research, multi-objective optimization (MOO) was applied to a natural gas-to-liquids (GTL) process with a multi-stage Fischer-Tropsch (FT) reactor. A CO 2 stream was fed into the GTL plant's endothermic steam reformer (SMR)... more
The optimal design of a natural gas‐to‐liquid hydrocarbons (GTL) process with a multistage cobalt‐based Fischer‐Tropsch reactor and interstage product separation is considered. The objective function is to maximize the wax (C21+)... more
This study of gas to liquid (GTL) production uses an authothermal reformer (ATR) for synthesis gas production and a slurry bubble column reactor (SBCR) with Cobalt catalyst for the Fisher-Tropsch (FT) conversion to liquid fuels. The... more
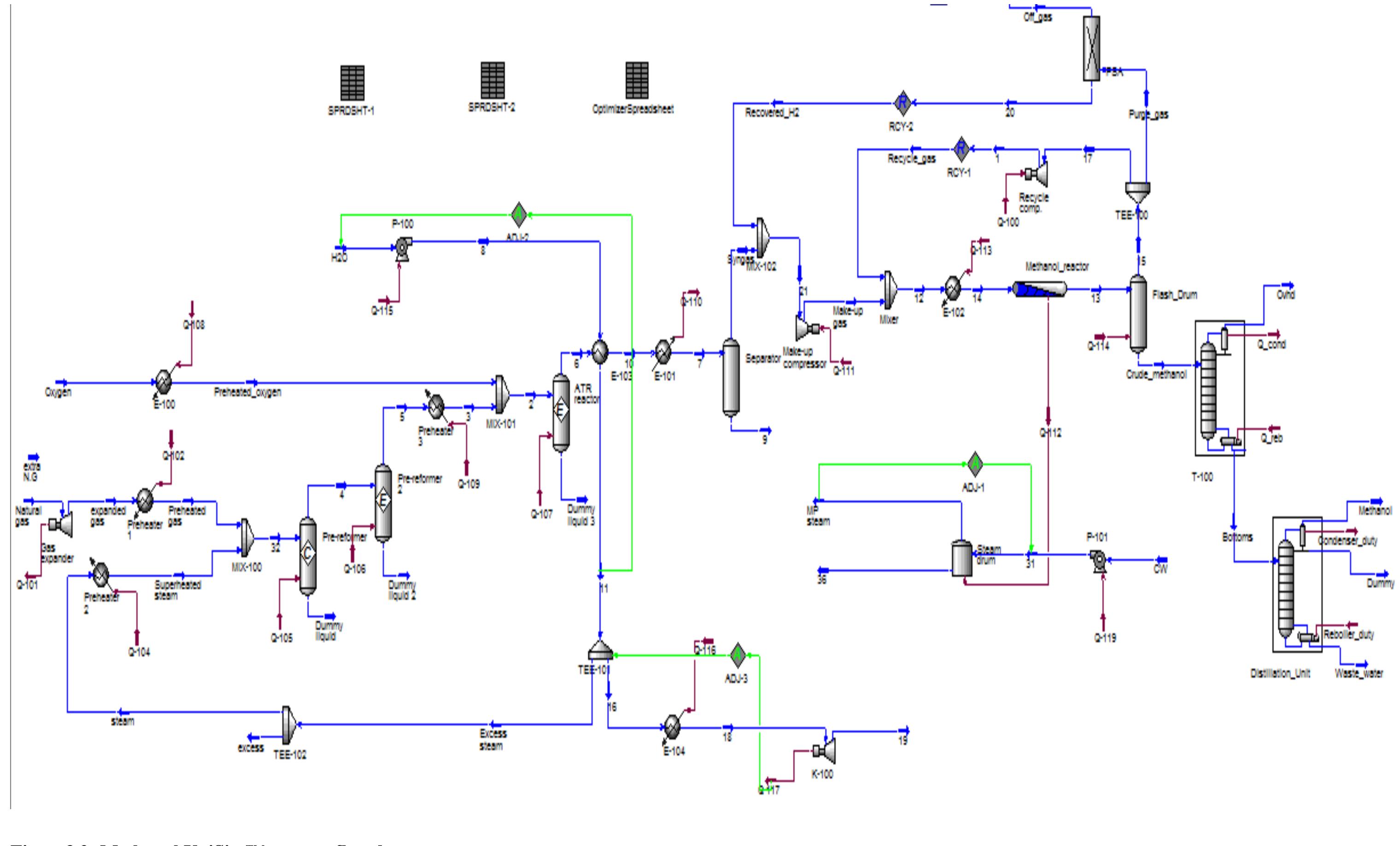
The design and optimization of a natural gas to hydrocarbon liquids (GTL) process is considered, mainly from the view of maximizing the variable income during operation. Autothermal reforming (ATR) is used for synthesis gas production.... more
A simplified transient model for fixed-bed reactors was extended to account for the heat sink effect of the phase change material diluent in the Fischer-Tropsch reactor energy balance. The resulting model was found to accurately... more
In this paper, a methodology for systematically integrating the synthesis of combined heat, mass, and regeneration exchange networks with solar thermal is presented. The process considered involves the removal of ammonia from ammonia-rich... more
We present a new method for the synthesis of mass exchanger networks (MENs) involving packed columns. Simultaneous synthesis of MENs is typically done through the use of mixed-integer nonlinear program (MINLP) optimization, with... more
Mass exchange network synthesis (MENS) can be used to reduce pollutant emissions into the environment as well as reduce the need for mass separating agents (MSAs). Designing an efficient network using mathematical programming is not a... more
Currently, most of the biodiesel is produced from the edible/refined type oil using methanol and alkaline catalyst. However, large amount of non-edible type oils and fats are available in our country. In this study, crude neem oil is used... more
This article has been accepted for publication and undergone full peer review but has not been through the copyediting, typesetting, pagination and proofreading process, which may lead to differences between this version and the final... more
preview not available - see full-text PDF article.
The design and optimization of a natural gas to hydrocarbon liquids (GTL) process is considered, mainly from the view of maximizing the variable income during operation. Autothermal reforming (ATR) is used for synthesis gas production.... more
Five placements of a CO 2 removal unit in a gas-to-liquid (GTL) process are evaluated from an economical point of view. The kinetic model is the one given by Iglesia et al. for a cobalt-based Fischer-Tropsch (FT) reactor. For each... more
Biodiesel is a non-toxic, renewable and biodegradable alternative fuel and this can be used without any engine modifications. Biodiesel can be used as fuel in the form of purest form to the vehicle; it can be used as diesel additive to... more
Cucumis sativus L. seeds oil was extracted by an organic solvent and analyzed for its physicochemical properties i.e. acid value, iodine value, moisture content, density and refractive index. The acid value, moisture content and iodine... more
Commercial success in the photonics marketplace dictates a full understanding of the product development lifecycle. Underpinning this success is the maximization of performance and minimization of product development time. These can be... more
As a renewable, biodegradable, and non-toxic fuel, biodiesel has attracted a lot of attention during the past century. It is a methyl ester of a fatty acid made from triglycerides by the methanol transesterification process. Due to the... more
A typical methanol loop reactor is analyzed in this study. All basic equipment in the Lurgi-type methanol loop is included in the proposed model. A detailed dynamic model described by a set of ordinary differential and algebraic equations... more
In the current scenario, the energy sector of the developing world depends on fossil fuels. To reduce fossil fuel dependence, it is essential to develop new alternative energy source which can replace fossil fuels. Biodiesel is an... more
This work presents an optimisation framework for the routing and equipment design of main pipelines to be used for fluid transmission. There are many considerations in these design problems, involving various constraints, decisions and... more
Most of the current research in process synthesis focus on heat exchanger network synthesis. Reports on mass exchanger network synthesis mostly discussed singlecomponent problems using simultaneous approaches. However, less attention has... more
Traditional System-on-Chip (SoC) design employed shared buses for data transfer among various subsystems. As SoCs become more complex involving a larger number of subsystems, traditional bus-based architecture is giving way to a new... more
A typical methanol loop reactor is analyzed in this study. All basic equipment in the Lurgi-type methanol loop is included in the proposed model. A detailed dynamic model described by a set of ordinary differential and algebraic equations... more
unit for airconditioning (AC) with the provision to sequester carbon-dioxide by incorporating a roller, coated with modified epomin, cross-linked with epichlorohydrin. The work presents a concept paper on the use of epomin as adsorbent in... more
The Fischer-Tropsch synthesis (FTS) in gaseous and supercritical phases was examined in a continuous, high-pressure fixed-bed reactor by employing a cobalt catalyst (Co-Ru/c-Al 2 O 3). The kinetic modeling of the FTS was investigated in... more
The consumption of edible oil is very high in the country and still the indigenous production does not meet the demand and considerable amount of edible oil is imported. Also, it is not advisable to divert these sources for biodiesel... more
This work presents an optimisation framework for the routing and equipment design of main pipelines to be used for fluid transmission. There are many considerations in these design problems, involving various constraints, decisions and... more
This project would not have been possible without the help and support of many people. First and Foremost, I would like to express my sincere gratitude to the almighty God for seeing me through thick and thin times during my study at this... more
This project would not have been possible without the help and support of many people. First and Foremost, I would like to express my sincere gratitude to the almighty God for seeing me through thick and thin times during my study at this... more
The different potential sources of methane to be transformed into value commercial products are identified. The Technologies as steam reforming, selective oxidation, membrane reforming and thermal plasma are described. An analysis of the... more
Most of the current research in process synthesis focus on heat exchanger network synthesis. Reports on mass exchanger network synthesis mostly discussed singlecomponent problems using simultaneous approaches. However, less attention has... more
Oil was extracted from Balanite aegyptiaca (Desert Dates) using Soxhlet extraction method. The physicochemical properties of oil such as specific gravity, saponification value, acid value , free fatty acid, viscosity were determine and... more
Gas-to-liquid (GTL) processes are becoming attractive due to the increasing price of crude oil. Process simulation analysis on the integrated GTL process is essential as part of an extended process integration analysis of the research... more
by KELVIN YORO and 
1 more
Adsorption technology due to its potentially low energy consumption, simple operation and flexibility in design to meet different demands is fast becoming popular and is now widely considered in the area of CO 2 capture. Adsorbents play a... more
A method to rigorously identify the performance limits of a reactive separator network is presented in this paper. The quantification of the enhancement potential for a given technology can greatly benefit process intensification studies... more
The present study was undertaken to understand the fundamentals of recycling the tail gas during the Fischer-Tropsch Synthesis with an iron-based catalyst with particular emphasis on the importance of the usage ratio. The usage ratio was... more
Interest in the gas-to-liquid process (GTL) using Fischer-Tropsch reactors (F-T) has increased in recent years because of its potential to replace ordinary petroleum with sulfur-free fuels. However, the efficiency of the process is still... more
by Ahmad Rafiee and 
1 more
The optimal design of a natural gas to liquid hydrocarbons (GTL) process with multi stage cobalt-based Fischer-Tropsch reactor and inter-stage product separation is considered. The objective function is to maximize the wax (C21+)... more
CHEMICAL ENGINEERING TRANSACTIONS Volume 21, 2010 Editor JJ Klemeš, HL Lam, PS Varbanov Copyright © 2010, AIDIC Servizi Srl, ISBN 978-88-95608-05-1 ISSN 1974-9791 DOI: 10.3303/CET1021028 ... Please cite this article as: De Castro J.,... more
Interest in the gas-to-liquid process (GTL) using Fischer-Tropsch reactors (F-T) has increased in recent years because of its potential to replace ordinary petroleum with sulfur-free fuels. However, the efficiency of the process is still... more
Five placements of a CO2 removal unit in a gas-to-liquid (GTL) process are evaluated from an economical point of view. The kinetic model is the one given by Iglesia et al. for a cobalt-based Fischer-Tropsch (FT) reactor. For each... more
Different syngas configurations in a gas-to-liquid plant are studied including autothermal reformer (ATR), combined reformer, and series arrangement of gasheated reformer and ATR. The Fischer-Tropsch (FT) reactor is based on a cobalt... more
Download research papers for free!