Academia.eduAcademia.edu

Non-Stoichiometric Compounds

description6 papers
group0 followers
lightbulbAbout this topic
Non-stoichiometric compounds are materials that do not have a fixed ratio of their constituent elements, resulting in variable compositions. These compounds often exhibit unique properties due to the presence of defects, such as vacancies or interstitials, which influence their chemical and physical behavior.
lightbulbAbout this topic
Non-stoichiometric compounds are materials that do not have a fixed ratio of their constituent elements, resulting in variable compositions. These compounds often exhibit unique properties due to the presence of defects, such as vacancies or interstitials, which influence their chemical and physical behavior.

Key research themes

1. How does stoichiometry variation influence defect structures and resulting physical properties in transition metal oxides?

This research area explores the fundamental role of nonstoichiometry in transition metal oxides, focusing on how deviations from ideal atomic ratios create point and extended defects. These defect structures critically affect electronic, magnetic, and structural properties. Understanding these interrelations is vital for tailoring oxides' multifunctional behavior in applications such as catalysis, magnetic devices, and energy materials.

Key finding: Thermally synthesized nonstoichiometric nickel oxide samples exhibit continuous variation in crystallographic unit cell parameters with composition, confirmed by iodometric titration, TGA, XRD and XPS analyses.... Read more
Key finding: The chapter synthesizes advancements showing that increasing deviations from stoichiometry require defect clustering and superstructure models beyond point defect approximations, especially in variable valence transition... Read more
Key finding: The study demonstrates that nonstoichiometric compositions in complex fibrous amphiboles synthesized via solid-phase routes exhibit systematic changes in crystal morphology, lattice parameters, and defect-related adsorptive... Read more

2. What experimental and theoretical methods best characterize nonstoichiometry and defect chemistry in coordination and solid-state inorganic compounds?

Identifying and quantifying nonstoichiometry and associated defect structures require integrated experimental techniques and theoretical interpretations. This theme focuses on how methods like X-ray diffraction, vibrational spectroscopy, calorimetry, potentiometric titrations, and crystallography combined with thermochemical analyses illuminate defect populations and their impact on compound structures and stability.

Key finding: Through fluoride-azide exchange and ligand substitution monitored by IR, Raman, thermal analyses, and X-ray crystallography, the study elucidates the stoichiometry and structural evolution of niobium oxoazides. Precise... Read more
Key finding: Potentiometric titrations reveal protonation constants and metal complex stability constants of Schiff base ligands with distinct functional groups, providing quantitative insight into coordination equilibria in mixed solvent... Read more
Key finding: The combined use of X-ray crystallography, IR spectroscopy, and luminescence measurements enables detailed characterization of nonstoichiometric gold acetylide-cyanide compounds. Structural variations induced by ligand... Read more
Key finding: Controlled vapor pressure synthesis combined with precise cell parameter determination reveals polymorph-dependent stoichiometric deviations in tris(8-hydroxyquinoline) aluminium crystals. The work highlights nonstoichiometry... Read more

3. How do deviations from ideal stoichiometry and compound composition affect chemical bonding, coordination, and synthesis in metal-organic and coordination compounds?

This line of research investigates how nonstoichiometry driven by ligand substitution, mixed valence states, or variable coordination geometries influences the synthesis, structure, and properties of metal-organic complexes. Examining these effects is critical for developing materials with tunable luminescence, catalytic, or electronic behaviors.

Key finding: High-pressure synthesis and computational studies reveal novel stoichiometries in cesium-fluorine compounds deviating from traditional 1:1 ratios. The formation of polyfluoride anions and polyvalent Cs cations (up to +5)... Read more
Key finding: The study shows that complex formation and resulting structure of Co(III), Ni(II), and Cu(II) dioximates strongly depend on pH-controlled stoichiometry, with bis-dioximates favored at pH 5–6 and tris-dioximines at pH 2.... Read more
Key finding: Mechanochemical synthesis of metal complexes with Schiff base ligands demonstrates that stoichiometry control during synthesis impacts the coordination geometry and electronic states, as evidenced by FT-IR shifts, magnetic... Read more

All papers in Non-Stoichiometric Compounds

Sodium hexa-fluorosilicate (Na 2 SiF 6) is a synthetic inorganic material with distinguished chemical, thermal and optical properties. In this research, a pure sodium hexa-fluorosilicate sample was systematically investigated via various... more
Öz Sodyum silikoflorür, Na2SiF6'nın kimyasal formülü ile son zamanlarda seramik, metalurji ve kimya mühendisliği gibi çeşitli endüstrilerde birçok uygulama alanı bulan inorganik sentetik bir malzemedir. Bu tozun en önemli kullanımlarından... more
Öz Sodyum silikoflorür, Na2SiF6'nın kimyasal formülü ile son zamanlarda seramik, metalurji ve kimya mühendisliği gibi çeşitli endüstrilerde birçok uygulama alanı bulan inorganik sentetik bir malzemedir. Bu tozun en önemli kullanımlarından... more
Pure nanocrystalline forsterite could be fabricated by mechanochemical synthesis in the presence of fluorine ion. Mechanochemical process and post-heat treatment were performed using MgCO 3 , SiO 2 and (NH 4) 2 SiF 6 powders as starting... more
Chrysotile fibers were synthesized from glass in hydrothermal conditions. The starting materials were first held at 1650°C and then rapidly quenched down to room temperature. The resulting glass, after the addition of mineralizing agents,... more
Chrysotile fibers were synthesized from glass in hydrothermal conditions. The starting materials were first held at 1650°C and then rapidly quenched down to room temperature. The resulting glass, after the addition of mineralizing agents,... more
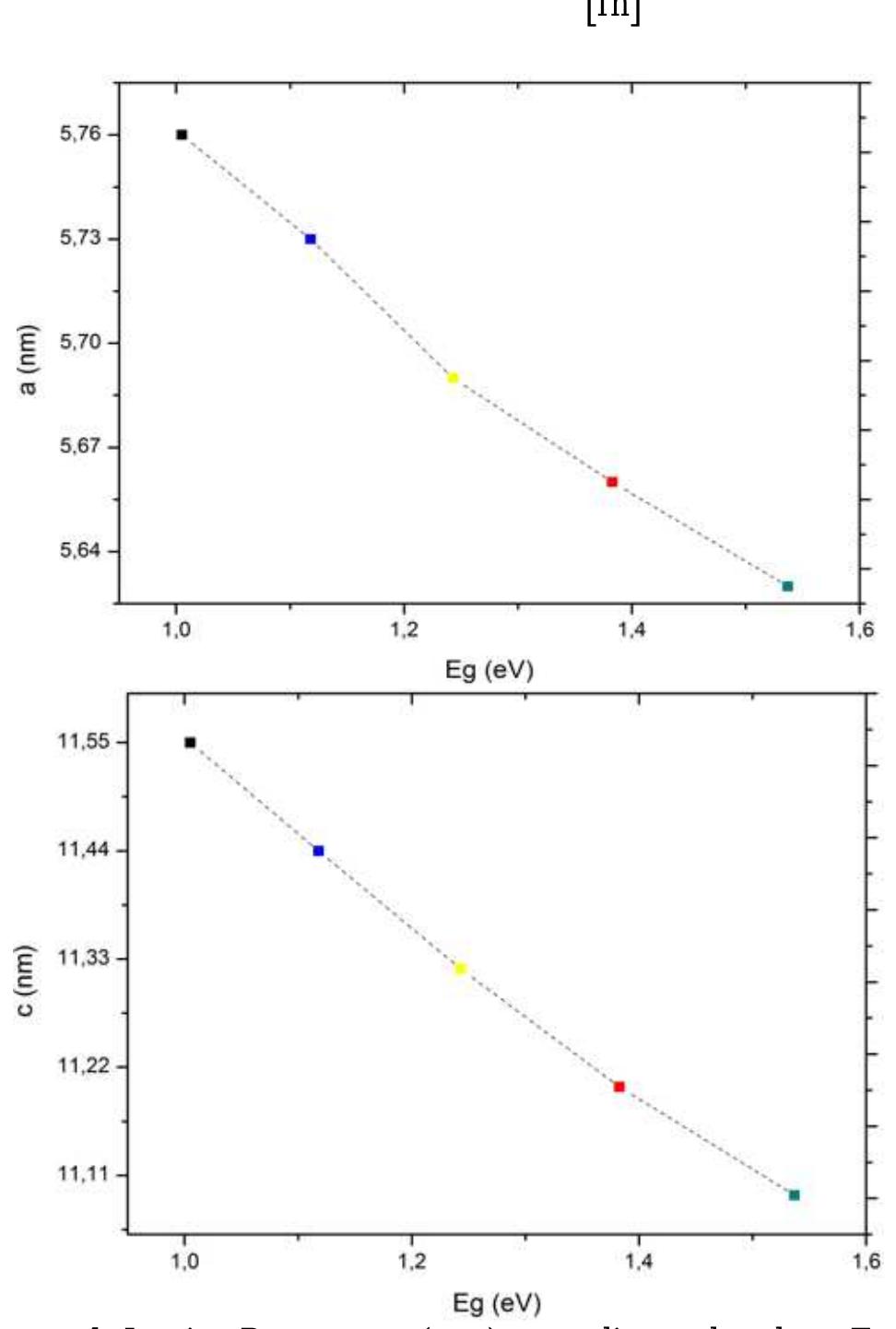
In this paper, a study was carried out on the evolution of the effective mass of the electron and the effective mass of the crystal parameters in solar cells based on non-stoechiometric absorbers Cu (In 1-x Ga x) Se 2. Usually the... more
Pure nanocrystalline forsterite could be fabricated by mechanochemical synthesis in the presence of fluorine ion. Mechanochemical process and post-heat treatment were performed using MgCO 3 , SiO 2 and (NH 4 ) 2 SiF 6 powders as starting... more
The influence of mechanical activation of the mixture basic MgCO -amorphous SiO on reaction of forsterite formation was studied 3 2 with and without the presence of fluorine ion. Beneficial influence of mechanical activation on the... more
The thermal behaviour of two crocidolite asbestos samples was characterized. Infrared spectroscopy (FT-IR), powder X-ray diffraction, scanning electron microscopy and thermal analysis (DTA and TG) with evolved gas analysis were carried... more
Download research papers for free!