Academia.eduAcademia.edu

Nodal Integration

description22 papers
group0 followers
lightbulbAbout this topic
Nodal integration refers to the process of synthesizing and coordinating information from various nodes or points within a network, often in the context of systems theory or network analysis. It emphasizes the interconnectivity and interaction between different components to achieve a cohesive understanding or functionality within complex systems.
lightbulbAbout this topic
Nodal integration refers to the process of synthesizing and coordinating information from various nodes or points within a network, often in the context of systems theory or network analysis. It emphasizes the interconnectivity and interaction between different components to achieve a cohesive understanding or functionality within complex systems.
In most Galerkin mesh-free methods, background integration cells partitioning the problem domain are required to evaluate the weak form. It is therefore worthwhile to consider these methods using the notions of domain decomposition with... more
In most Galerkin mesh-free methods, background integration cells partitioning the problem domain are required to evaluate the weak form. It is therefore worthwhile to consider these methods using the notions of domain decomposition with... more
We present a Lagrangian nodal integration method for the simulation of Newtonian and non-Newtonian free-surface fluid flows. The proposed nodal Lagrangian method uses a finite element mesh to discretize the computational domain and to... more
We present a Lagrangian nodal integration method for the simulation of Newtonian and non-Newtonian free-surface fluid flows. The proposed nodal Lagrangian method uses a finite element mesh to discretize the computational domain and to... more
In this paper, we present a novel nodal integration scheme for meshfree Galerkin methods that draws on the mathematical framework of the virtual element method. We adopt linear maximum-entropy basis functions for the discretization of... more
SUMMARYIn this work, a linear hexahedral element based on an assumed strain finite element technique is presented for the solution of plasticity problems. The element stems from the Nodally Integrated Continuum Element (NICE) formulation... more
The reproducing kernel particle method (RKPM) is a meshfree method for computational solid mechanics that can be tailored for an arbitrary order of completeness and smoothness. The primary advantage of RKPM relative to standard... more
The numerical modelling of natural disasters such as landslides presents several challenges for conventional mesh-based methods such as the finite element method (FEM) due to the presence of numerically challenging phenomena such as... more
The explosive welding process is an extreme-deformation problem that involves shock waves, large plastic deformation, and fragmentation around the collision point, which are extremely challenging features to model for the traditional... more
This special issue is dedicated to Steve Attaway, who passed away on February 28, 2019. Steve Attaway worked at Sandia National Laboratories in Albuquerque, NM, for over 30 years making significant contributions in highperformance... more
In most Galerkin mesh-free methods, background integration cells partitioning the problem domain are required to evaluate the weak form. It is therefore worthwhile to consider these methods using the notions of domain decomposition with... more
This special issue is dedicated to Steve Attaway, who passed away on February 28, 2019. Steve Attaway worked at Sandia National Laboratories in Albuquerque, NM, for over 30 years making significant contributions in highperformance... more
In this work, a linear hexahedral element based on an assumed strain finite element technique is presented for the solution of plasticity problems. The element stems from the Nodally Integrated Continuum Element (NICE) formulation and its... more
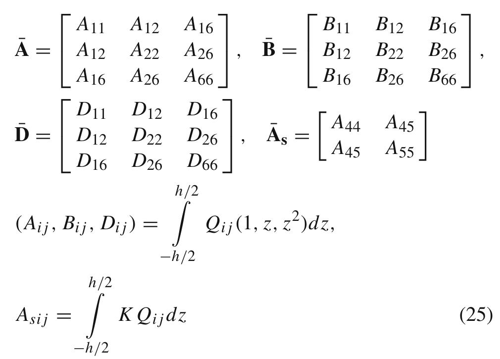
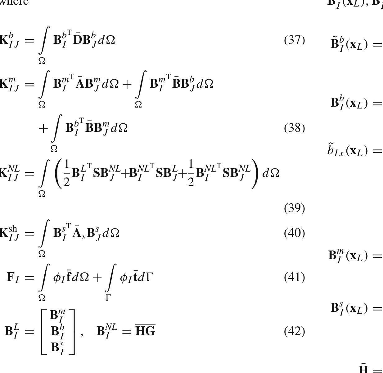
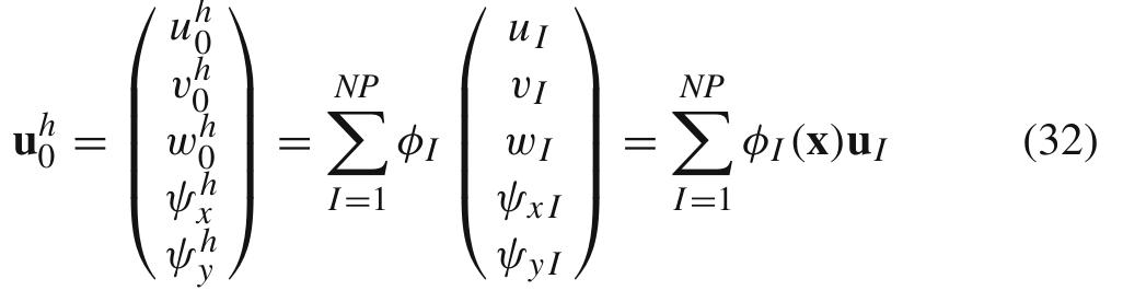
In this paper, the linearly conforming radial point interpolation method is extended for geometric nonlinear analysis of plates and cylindrical shells. The Sander's nonlinear shell theory is utilized and the arc-length technique is... more
In this paper, the linearly conforming radial point interpolation method is extended for geometric nonlinear analysis of plates and cylindrical shells. The Sander's nonlinear shell theory is utilized and the arc-length technique is... more
In this paper, the linearly conforming radial point interpolation method is extended for geometric nonlinear analysis of plates and cylindrical shells. The Sander's nonlinear shell theory is utilized and the arc-length technique is... more
Convergent and stable domain integration that is also computationally efficient remains a challenge for Galerkin meshfree methods. High order quadrature can achieve stability and optimal convergence, but it is prohibitively expensive for... more
Galerkin meshfree methods can suffer from instability and suboptimal convergence if the issue of quadrature is not properly addressed. The instability due to quadrature is further magnified in high strain rate events when nodal... more
Meshfree methods have been formulated based on Galerkin type weak formulation and collocation type strong formulation. The approximation functions commonly used in the Galerkin based meshfree methods are the moving least-squares (MLS) and... more
A Hermite reproducing kernel (RK) approximation and a sub-domain stabilized conforming integration (SSCI) are proposed for solving thin-plate problems in which second-order differentiation is involved in the weak form. Although the... more
Galerkin meshfree methods can suffer from instability and suboptimal convergence if the issue of quadrature is not properly addressed. The instability due to quadrature is further magnified in high strain rate events when nodal... more
Galerkin meshfree methods can suffer from instability and suboptimal convergence if the issue of quadrature is not properly addressed. The instability due to quadrature is further magnified in high strain rate events when nodal... more
Download research papers for free!