Academia.eduAcademia.edu

Meteorological Radiation Model (MRM)

description6 papers
group0 followers
lightbulbAbout this topic
The Meteorological Radiation Model (MRM) is a computational framework used to simulate and analyze the transfer of solar and terrestrial radiation in the atmosphere. It incorporates atmospheric conditions, surface properties, and radiative processes to predict radiation fluxes, aiding in climate studies, weather forecasting, and environmental monitoring.
lightbulbAbout this topic
The Meteorological Radiation Model (MRM) is a computational framework used to simulate and analyze the transfer of solar and terrestrial radiation in the atmosphere. It incorporates atmospheric conditions, surface properties, and radiative processes to predict radiation fluxes, aiding in climate studies, weather forecasting, and environmental monitoring.
The realization of Renewable Energy Sources (RES) for power generation as the only environmentally-friendly solution, moved solar systems to the forefront of the energy market in the last decade. The capacity of solar power doubles almost... more
The realization of Renewable Energy Sources (RES) for power generation as the only environmentally-friendly solution, moved solar systems to the forefront of the energy market in the last decade. The capacity of solar power doubles almost... more
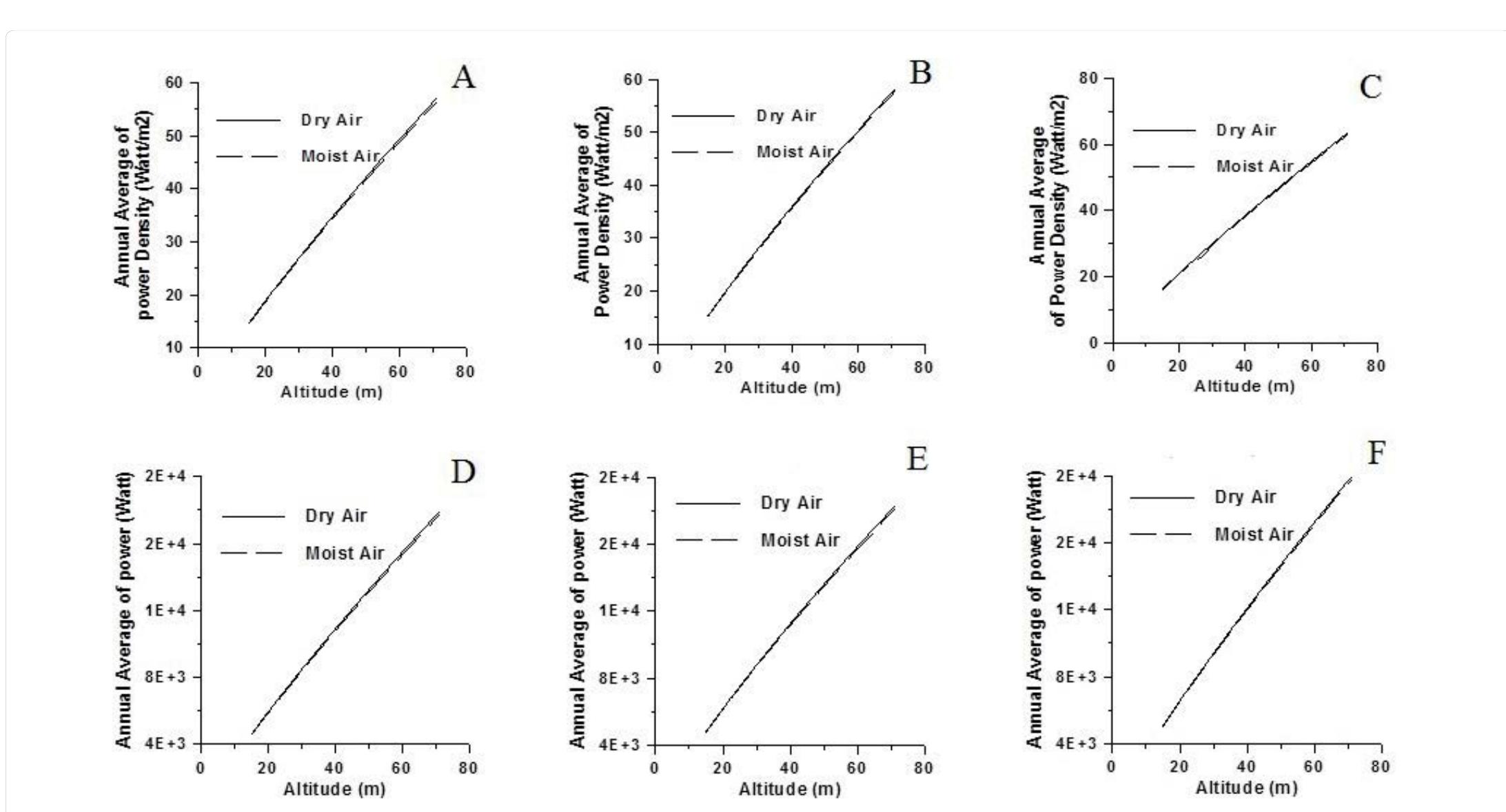
The relative humidity effect on the wind power was extracted as a renewable energy for electricity production in Nassiriyah city - south of Iraq investigated for three years (2011-2013) by theoretical calculations. The study showed that... more
To design and construct mosthydraulic structures, e.g. dams, it is essential to determine watershed runoff. If a watershed lacks any gaging station, thenhydrologic models can be utilized to estimate runoff. The Soil Water Assessment Tool... more
The realization of Renewable Energy Sources (RES) for power generation as the only environmentally friendly solution, moved solar systems to the forefront of the energy market in the last decade. The capacity of the solar power doubles... more
Solar power systems have been at the forefront of the global energy market for at least one decade. In the meantime, the world has realised that the only environmentally-friendly option for power generation is the implementation of... more
Download research papers for free!