Academia.eduAcademia.edu

Dry Density

description33 papers
group3 followers
lightbulbAbout this topic
Dry density is the mass of a material per unit volume when all moisture content is removed. It is commonly used in geotechnical engineering and soil science to assess the compactness and stability of soils and other materials, influencing their mechanical properties and behavior under load.
lightbulbAbout this topic
Dry density is the mass of a material per unit volume when all moisture content is removed. It is commonly used in geotechnical engineering and soil science to assess the compactness and stability of soils and other materials, influencing their mechanical properties and behavior under load.
Peat in various phases of decomposition has poor shear strength and high compressive deformation. For this research study, it will focus on stabilizing peat soil using NaOH. There are two main tests that were conducted in this research... more
Capon (Rieth-Riley Construction), Don Johnson (FHWA, Indianapolis), Tom Kuhn (Kuhn Construction), Sam Mansukani (FHWA, Chicago), Wes Shaw (INDOT, Crawfordsville District), and Nyyar Zia (INDOT, Division of Materials and Test) all were... more
The Purdue TDR method is a new technology for simultaneously measuring soil water content and dry density insitu. An ASTM standard for using TDR to measure soil water content and dry density based on Purdue TDR method was approved during... more
The artificial neural network (ANN) is widely used as new mathematical tool offering an alternative way of dealing with complex problems. To predict water quality after coagulation/ultrafiltration processes using an immersed membrane,... more
In the study carried out by the National Institute of Statistics and Informatics (INEI), construction works generated 41.9% of Peru's GDP. 9% of the GDP in Peru, of which provinces such as Huancayo allocated 50 million to the execution of... more
This paper presents the investigation of energy efficacy, strength maturation, and environmental management of palm oil industrial waste materials, such as palm oil fuel ash (POFA) and oil palm shell (OPS). The industrial by-product POFA... more
U ovom radu predstavljeno je ispitivanje u Proctorovom uređaju te su izneseni dobiveni rezultati na temelju izvršenih ispitivanja. Ispitivanje je provedeno na uzorcima mehaničko – biološki (biosušenje) obrađenog miješanog komunalnog... more
Human red blood cells (RBCs) lose ∼30% of their volume and ∼20% of their hemoglobin (Hb) content during their ∼100-day lifespan in the bloodstream. These observations are well-documented, but the mechanisms for these volume and hemoglobin... more
Assessment of household combustion emission was carried out based on data on meteorological conditions in heating season (outdoor temperature) and the emission factors. Available emission factors, both for various fuels and for various... more
Shredded rubber tyre having sizes ranges from 15mm to 25mm (Width) and 30mm to 50mm (Length) and the steel belting was removed are used extensively. Added amount of rubber tyre had been varied in proportions of 4%, 6%, 8% and 10%. Use of... more
This research work is aimed at investigating the long-term performance of Nigerian roads using Iju-Itaogbolu road as a case study. Soil samples were collected in disturbed state from five different trial pits at failed portions along... more
In this paper, three groups of quartz-rich sandstone were selected. These three groups include sandstones with low, medium and high quartz content. Three categories of tests including petrography tests, physical and engineering index... more
India is one of the developing country where it proposes to have multipurpose development projects. Large construction of roads, bridges, dams, irrigation schemes, public health engineering schemes, educational buildings and residential... more
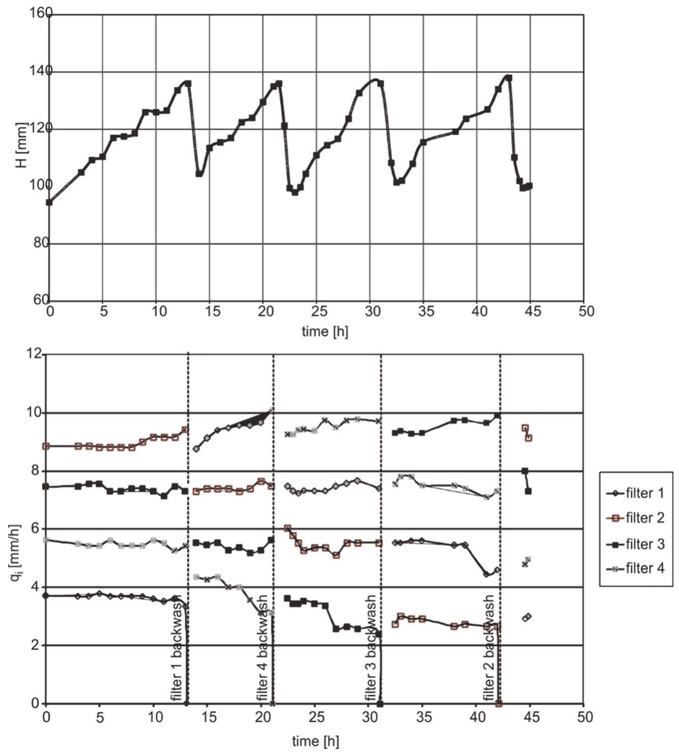
One of the operation rules of variable declining rate (VDR) filters states that the longest filtration runs are achieved when the highest flow through the most recently backwashed filter and the highest available head loss coincide. This... more
According to some numerical models of variable declining rate filters in a bank changes in raw water quality do not interfere with values of flow rates through filters as long as subsequent back-washes in a plant start always for the same... more
In most of the failure cases, the soil does not have sufficient strength & bearing capacity to sustain under traffic load, natural disasters (earthquake, heavy rain, flood, and landslides), and structure. So, attempt is to modify &... more
Waste polypropylene is one of the most common non-biodegradable solid wastes generated by industrial activity in Iraq. Solid waste is one of the several causes having a negative effect on the environment. The issues arise as a result of... more
Geotechnical tests were carried out on twenty subsoil samples obtained from ten locations at the depth of 1 and 2 m within Federal University of Technology, Akure, Nigeria. The area is typical of basement complex. The test include;... more
The properties of residual soils, according to literature, are sensitive to the pre-test drying method given to the sample prior to testing. Similarly, residual soils such as laterites/lateritic soils are formed under various climatic... more
Characteristics of soil subgrade play a prominent role in pavements. As an essential concern, weakly sub graded soil enhanced by adopting the most efficient stabilization techniques. The principle point of the present investigation is to... more
Cocos Nucifera trees, otherwise known as coconut palm trees, grow abundantly along the coast line of Kerala. As a result coconut shells are abundantly available and it has been successfully utilised in many fields. This research is... more
Soil stabilization is the method of improving the one-of-a-kind type of engineering residences ofthe soil. It is able to be achieved with the aid of using controlled compaction, proportioning and the addition of suitable different styles... more
Human red blood cells (RBCs) lose ∼30% of their volume and ∼20% of their hemoglobin (Hb) content during their ∼100-day lifespan in the bloodstream. These observations are well-documented, but the mechanisms for these volume and hemoglobin... more
Characteristics of soil subgrade play a prominent role in pavements. As an essential concern, weakly sub graded soil enhanced by adopting the most efficient stabilization techniques. The principle point of the present investigation is to... more
Soil stabilization is the method of improving the one-of-a-kind type of engineering residences ofthe soil. It is able to be achieved with the aid of using controlled compaction, proportioning and the addition of suitable different styles... more
Density is defined as the weight of soil per unit volume of soil.Often in the construction of different types of structures in-situ 'fill' is required. In-situ measurement of density is vital for such projects. When soil is being... more
Soil stabilization is the method of improving the one-of-a-kind type of engineering residences ofthe soil. It is able to be achieved with the aid of using controlled compaction, proportioning and the addition of suitable different styles... more
The compaction and consolidation characteristics of lateritic soils in Ikole area of Ekiti State were investigated. The investigation was carried out through laboratory tests on disturbed and undisturbed soil samples obtained from three... more
This study examines the influence of moulding moisture content on the compressive strength, dry density and porosity of a rammed earth wall, using ultrasound as a complementary technique. Non-parametric and multivariate statistical... more
© 2017, IRJET | Impact Factor value: 5.181 | ISO 9001:2008 Certified Journal | Page 1438 A Review Study on Stabilization of soil by waste tyre rubber Satyam Kumar Gupta1 , Shubham siddhu2, Yash Gupta3, Syed Daud Ali4, Priyank Kumar5... more
© 2017, IRJET | Impact Factor value: 5.181 | ISO 9001:2008 Certified Journal | Page 1438 A Review Study on Stabilization of soil by waste tyre rubber Satyam Kumar Gupta1 , Shubham siddhu2, Yash Gupta3, Syed Daud Ali4, Priyank Kumar5... more
Large construction of various Civil Engineering schemes demands optimum and efficient use of construction resources. Requirement of fill material for large-scale constructional activities of roads, is enormous and available soils near... more
Emissions from domestic heating appliances significantly add to total environmental pollution, which was proved by seasonal changes of polycyclic aromatic hydrocarbons (PAH) levels obtained by long-term monitoring programs. 1 The... more
This research was aimed to investigate the effect of densification on the shear strength of the Simbal Landslide, which was triggered by intense rainfall in October, 2005 along the M2 Lahore Islamabad Motorway in Pakistan. Subsurface... more
The use of Tire-Derived Aggregates (TDA) as highly permeable light weight material has been highlighted in different aspects of geotechnical engineering such as retaining walls, embankments and roads. In addition, in terms of human health... more
The compaction and consolidation characteristics of lateritic soils in Ikole area of Ekiti State were investigated. The investigation was carried out through laboratory tests on disturbed and undisturbed soil samples obtained from three... more
The present study focuses on the shear strength of a crushed sandstone-mudstone particle mixture. The mixture is widely used as a main filling material in many geotechnical engineering works. In order to investigate the shear strength of... more
Peaty soils are not suitable as foundation soils as they are weak and highly compressible. This paper describes a study on peat soil stabilisation to improve its physical and engineering properties. It investigates the effect of additives... more
Cocos Nucifera trees, otherwise known as coconut palm trees, grow abundantly along the coast line of Kerala. As a result coconut shells are abundantly available and it has been successfully utilised in many fields. This research is... more
This is the era of reformation and soil is considered the basic foundation for every civil structure. Now a day due to short availability of land, we would have to erect structures on weaker soil too. This is where soil stabilization... more
This is the era of reformation and soil is considered the basic foundation for every civil structure. Now a day due to short availability of land, we would have to erect structures on weaker soil too. This is where soil stabilization... more
Atatürk University, Faculty of Agriculture, Department of Soil Science, 25240-Erzurum, Turkey. *Atatürk University, Faculty of Agriculture, Department of Agricultural Buildings and Irrigation, 25240-Erzurum, ... **Dept. Soil Science,... more
Different countries have set up various regulatory frameworks to ensure excellent air quality for general human health. The concentration of particulate matter (PM) per unit of air volume is used to assess air quality. PM10 is defined as... more
The compaction and consolidation characteristics of lateritic soils in Ikole area of Ekiti State were investigated. The investigation was carried out through laboratory tests on disturbed and undisturbed soil samples obtained from three... more
I, the undersigned, declare that this thesis entitled: "Correlation between Compaction Characteristics with undrained Shear Strength of Soils found in Burayu Town" is my original work, and has not been presented by any other person for an... more
I, the undersigned, declare that this thesis entitled: "Correlation between Compaction Characteristics with undrained Shear Strength of Soils found in Burayu Town" is my original work, and has not been presented by any other person for an... more
Gasification of solid fuels is an alternative process for energy production using conventional and renewable fuels. Apart from desired compounds, i.e. carbon oxide, hydrogen and methane, the produced gas contains complex organic (tars)... more
Electrical resistivity method (ERM) is increasingly and favourably adopted in geotechnical engineering due to a variety of reasons. In the past, ERM was popularly used in engineering, environmental and archaeological purposes. Its... more
Download research papers for free!