Academia.eduAcademia.edu

Artificial Neural Network Controller

description8 papers
group0 followers
lightbulbAbout this topic
An Artificial Neural Network Controller is a computational model that mimics the human brain's neural networks to process information and make decisions. It utilizes interconnected nodes (neurons) to learn from data, enabling adaptive control in complex systems by optimizing performance through training and feedback mechanisms.
lightbulbAbout this topic
An Artificial Neural Network Controller is a computational model that mimics the human brain's neural networks to process information and make decisions. It utilizes interconnected nodes (neurons) to learn from data, enabling adaptive control in complex systems by optimizing performance through training and feedback mechanisms.
In this paper, we present the design of a Proportional Integral (PI) controller using Genetic Algorithm (GA) to control the speed of an induction motor (IM) using indirect field-oriented control method (IFOC). The main advantage of this... more
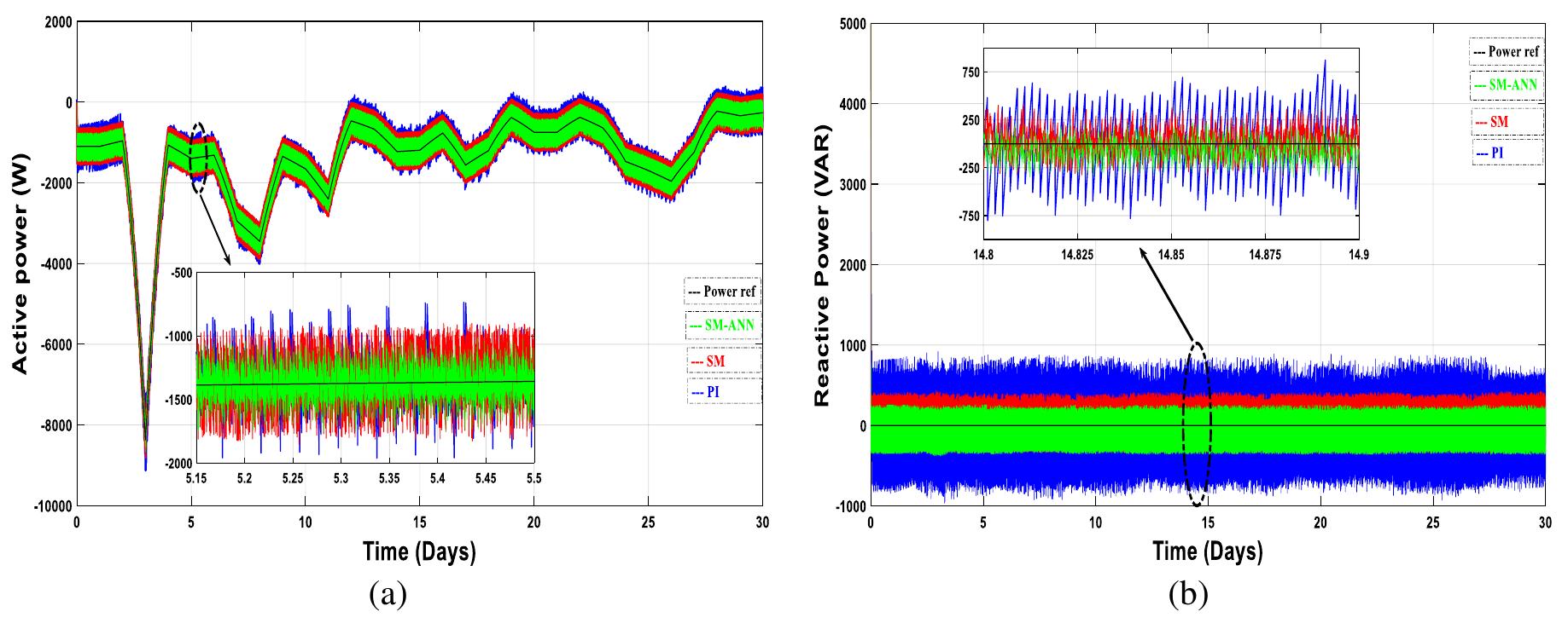
This study aims to propose a robust hybrid sliding mode artificial neural network control (SM-ANN) scheme for controlling the stator power (active/reactive) of a doubly fed induction generator (DFIG)-based direct drive vertical axis wind... more
The proposal of this study is a new nonlinear autoregressive moving average, NARMA-L2 controller, which is based on an adaptive neuro-fuzzy inference system, ANFIS architecture. The new control configuration employs Sugeno-type fuzzy... more
This study aims to propose a robust hybrid sliding mode artificial neural network control (SM-ANN) scheme for controlling the stator power (active/reactive) of a doubly fed induction generator (DFIG)-based direct drive vertical axis wind... more
by beei iaes and 
1 more
This study aims to propose a robust hybrid sliding mode artificial neural network control (SM-ANN) scheme for controlling the stator power (active/reactive) of a doubly fed induction generator (DFIG)-based direct drive vertical axis wind... more
In this paper a new maximum-power-point-tracking (MPPT) controller for a photovoltaic (PV) energy conversion system is proposed. Nowadays, PV generation is more and more used as a renewable energy source. However, its main drawback is... more
The proposal of this study is a new nonlinear autoregressive moving average, NARMA-L2 controller, which is based on an adaptive neuro-fuzzy inference system, ANFIS architecture. The new control configuration employs Sugeno-type fuzzy... more
The proposal of this study is a new nonlinear autoregressive moving average, NARMA-L2 controller, which is based on an adaptive neuro-fuzzy inference system, ANFIS architecture. The new control configuration employs Sugeno-type fuzzy... more
This paper deals with performance of fuzzy logic and artificial neural network on an electrical power system. A comparison of fuzzy controller and ANN controller based approaches shows the superiority of proposed ANN based approach over... more
Download research papers for free!