Academia.eduAcademia.edu

Outline

Conversion of Natural Watershed to Kinematic Wave Cascading Plane

https://doi.org/10.1061/͑ASCE͒HE.1943-5584.0000045

Abstract

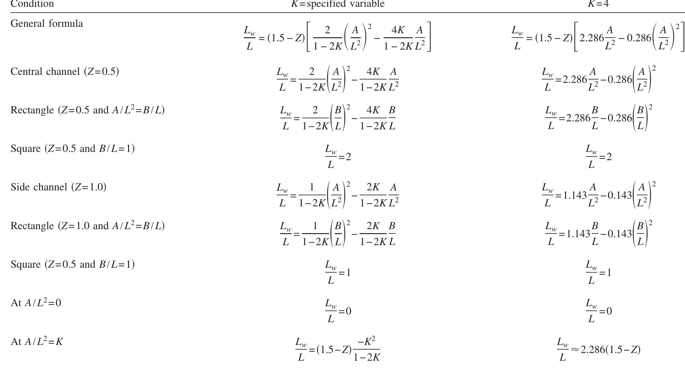
Storm water management models using the kinematic wave ͑KW͒ approach require the conversion of a natural watershed to its equivalent rectangular cascading plane. AKW cascading plane is specified by the plane's area, width, and slope. Without on-site calibration, there is no guidance on how to translate the irregularity of a natural watershed into a rectangular shape that has an equivalent hydrologic response. As a result, the reliability of a KW model depends on an engineer's experience. Often the use of a computer model to simulate stormwater runoff is the only option because there are not field data at the project site to use statistical methods. The need for calibration at each site defeats the purpose for using computer simulations. This long existing problem has been documented in the EPA SWMM4 User Manual, which continued into the EPA SWMM5 user guidance. In this study, the continuity and energy principles are creatively interpreted as the preservations of watershed area and vertical fall over the receiving waterway's length. The dimensional analysis suggests that the watershed shape factor can be used to correlate the waterway length in the natural watershed to the KW plane width. A parabolic one-to-one single valued function was derived to translate the watershed shape into its equivalent KW plane width, length, and slope. After numerous tests, it is confirmed that the watershed and KW shape factors provide a consistent and stable basis for watershed geometric conversion. It is believed that the procedure outlined in this paper can be very useful to the KW surface runoff modeling to represent urban stormwater predictions when an on-site calibration is not readily available.

References (14)

  1. Eagleson, P. S. ͑1970͒. Dynamic hydrology, McGraw-Hill, New York.
  2. Finnemore, E. J., and Franzini, J. B. ͑2002͒. Fluid mechanics with engi- neering application, 10th Ed., McGraw-Hill, New York.
  3. Guo, J. C. Y. ͑1998͒. "Overland flow on a pervious surface." Int. Water Res. Assoc., J. Int. Water, 23͑2͒.
  4. Guo, J. C. Y. ͑2006͒. "Storm water predictions by dimensionless unit hydrograph." J. Irrig. Drain. Eng., 132͑4͒, 410-417.
  5. Guo, J. C. Y. and Hsu, E. S. C. ͑2006͒. "Hydrologic modeling consistency and sensitivity to watershed size." J. Parsons-Brinkerhoff Network Water Eng. Manage., 21͑3͒.
  6. Huber, W. C., and Dickinson, R. E. ͑1988͒. Storm water management model user's manual, Version 4, EPA, Athens, Ga.
  7. Lee, J. G., and Heaney, J. P. ͑2003͒. "Estimation of urban imperviousness and its impacts on storm water systems." J. Water Resour. Plann. Manage., 129͑5͒, 419-426.
  8. McCuen, R. H. ͑1998͒. Hydrologic analysis and design, 2nd Ed., Prentice-Hall, New York.
  9. Proctor and Redfern, Ltd. and MacLaren, J. F. Ltd. ͑1976͒. "Stormwater management model study-Vol. I." Research Rep. No. 7, Canada- Ontario Research Program, Environmental Protection Service, Ot- tawa.
  10. Rossman, L. A. ͑2005͒. Storm water management model user's manual. version 5, Water Supply and Water Resources Division, National Risk Management Research Laboratory, Cincinnati.
  11. Schlichting, H. ͑1955͒. Boundary layer theory, McGraw-Hill, New York.
  12. Snyder, F. F. ͑1938͒. "Synthetic unit graphs." Trans. AGU, 19, 447-454.
  13. UDFCD. ͑2005͒. "User manual, Colorado urban hydrograph procedure- CUHP2005, Urban Drainage and Flood Control District." ͗http:// www.udfcd.org/downloads/down_software.htm͘ ͑May 2008͒.
  14. Zhang, G. S., and Hamlett, J. M. ͑2006͒. "Development of the SWMM hydrologic model for the Fox Hollow Watershed, Centre County, PA." Prepared in cooperation with Office of Physical Plant, Penn State University, University Park, Pa.