Academia.eduAcademia.edu

Outline

Proton scattering observables from Skyrme-Hartree-Fock densities

Abstract

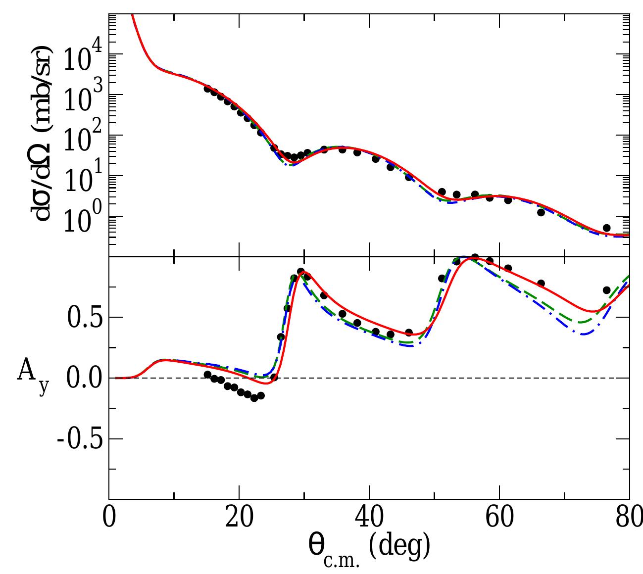
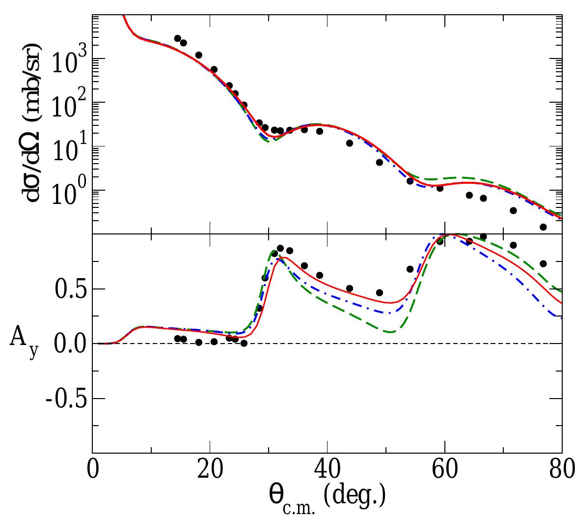
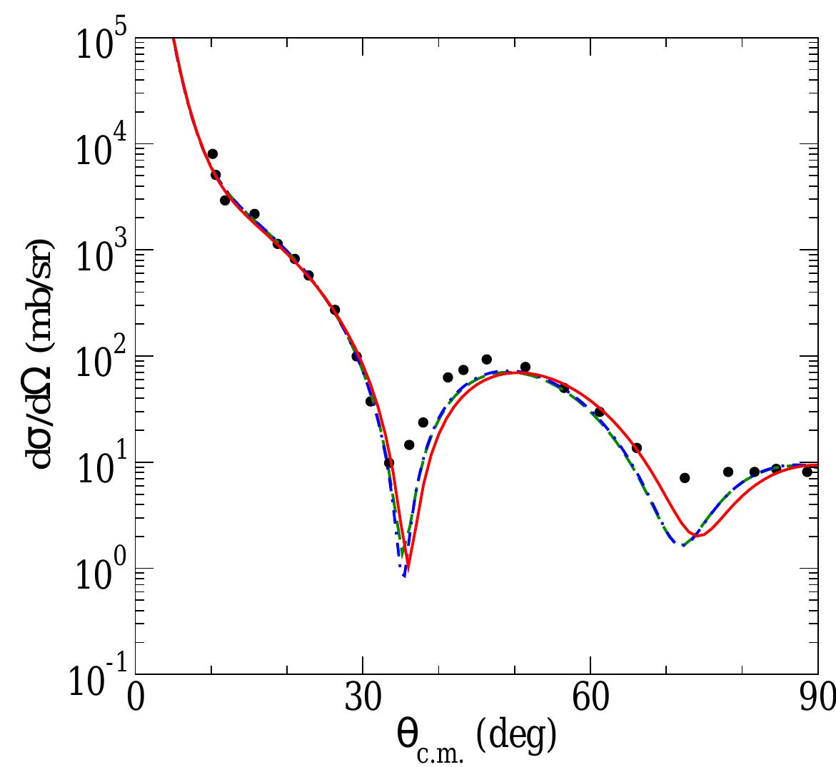
Proton and neutron densities from Skyrme-Hartree-Fock (SHF) calculations are used to generate non-local (g-folding) proton-nucleus optical potentials. They are formed by folding the densities with realistic nucleon-nucleon interactions. The potentials are then used to calculate differential cross sections and spin observables for proton scattering. Good agreement with data has been found, supporting those found previously when using SHF charge densities in analyses of electron scattering data. That agreement was improved by use of (shell model) occupation numbers to constrain the HF iterations. That, in part, is also the case with analyses of proton scattering data. The g-folding method is extended to exotic nuclei by including data for neutron-rich sd-shell nuclei from the inverse kinematics of scattering from hydrogen.

References (28)

  1. T. Suda and M. Wakasugi, Prog. Part. Nucl. Phys. 55, 417 (2005);
  2. T. Suda et al., Phys. Rev. Lett. 102, 102501 (2009).
  3. Technical Proposal for the Design, Construction, Commissioning, and Operation of the ELISe setup, spokesperson Haik Simon, GSI Internal Report, Dec. 2005.
  4. W. A. Richter and B. A. Brown, Phys. Rev. C 67, 034317 (2003).
  5. S. Karataglidis, K. Amos, B. A. Brown, and P. K. Deb, Phys. Rev. C 65, 044306 (2002).
  6. K. Amos, P. J. Dortmans, H. V. von Geramb, S. Karataglidis, and J. Raynal, Adv. in Nucl. Phys. 25, 275 (2000).
  7. K. Amos, W. A. Richter, S. Karataglidis, and B. A. Brown, Phys. Rev. Lett. 96, 032503 (2006).
  8. B. A. Brown, W. A. Richter, and R. Lindsay, Phys. Lett. B483, 49 (2000).
  9. J. Bartel, P. Quentin, M. Brack, C. Guet, and M. B. Hakansson, Nucl. Phys. A386, 79 (1982).
  10. B. A. Brown, Phys. Rev. C 58, 220 (1998).
  11. B. A. Brown and B. H. Wildenthal, Ann. Rev. Nucl. Part. Sci. 36, 29 (1988).
  12. B. A. Brown and W. A. Richter, Phys. Rev. C 74, 034315 (2006).
  13. F. Nowacki and A. Poves, Phys. Rev. C 79, 014310 (2009).
  14. J. Raynal, "computer program dwba98, nea 1209/05," (1998).
  15. S. Kato et al., Phys. Rev. C 31, 1616 (1985).
  16. K. H. Hicks et al., Phys. Rev. C 38, 229 (1988);
  17. J. Lui et al., iUCF Scientific and Technical Report, 1992, p. 11.
  18. R. de Leo, G. D'Erasmo, E. M. Fiore, G. Guarino, and A. Pantaleo, Nuovo Cimento A 59, 101 (1980).
  19. R. Alarcon, J. Rapaport, R. T. Kouzes, W. H. Moore, and B. A. Brown, Phys. Rev. C 31, 697 (1985).
  20. A. Hogenbirk, H. P. Blok, M. G. E. Brand, A. G. M. van Hees, J. F. A. van Hienen, and F. A. Jansen, Nucl. Phys. A516, 205 (1990).
  21. J. H. Kelley et al., Phys. Rev. C 56, R1206 (1997).
  22. F. Maréchal et al., Phys. Rev. C 60, 034615 (1999).
  23. H. Scheit et al., Phys. Rev. C 63, 014604 (2000).
  24. H. Sakaguchi, M. Nakamura, K. Hatanaka, A. Goto, T. Noro, F. Ohtani, H. Sakamoto, H. Ogawa, and S. Kobayashi, Phys. Rev. C 26, 944 (1982).
  25. T. Noro, H. Sakaguchi, M. Nakamara, K. Hatanaka, F. Ohtani, H. Sakamoto, and S. Kobayashi, Nucl. Phys. A366, 189 (1981).
  26. P. J. Dortmans, K. Amos, and S. Karataglidis, J. Phys. G 23, 183 (1997);
  27. P. J. Dortmans, K. Amos, S. Karataglidis, and J. Raynal, Phys. Rev. C 58, 2249 (1998).
  28. K. Amos and S. Karataglidis, arXiv:1007.0365, submitted to Phys. Rev. C.